お問い合わせ
ダウンロード
マニュアル、データシート、ソフトウェアなどのダウンロード:
フィードバック
スケーラブル・パフォーマンス・オシロスコープ
DPO70000SX Series Datasheet

DPO70000SXシリーズは、最高70Ghzのアナログ周波数帯域までの、超広帯域リアルタイム信号のアクイジションと解析が可能です。特許技術の非同期タイム・インターリーブ(ATI)アーキテクチャにより、低ノイズ、高信号品質のリアルタイム信号アクイジションを実現します。
- 優れた信号忠実度とS/N比
- 安定した高精度マルチチャンネル・タイミングによる正確な解析
- 小型・軽量なパッケージングにより、将来の拡張や構成の変更にも柔軟に対応可能
はじめに
DPO70000SXシリーズ・オシロスコープは、超広帯域アプリケーションに必要な高確度のリアルタイム性能を提供します。
- 特許技術のATIアーキテクチャを使用した低ノイズによる70GHzリアルタイム信号の取り込み
- 柔軟なマルチチャンネル・システムの構築が可能なコンパクトなパッケージング(3Uサイズ、約133.34mm)
- UltraSyncマルチユニット・タイミング同期バスの使用により、高精度でスケーラブルなパフォーマンス
- 25GHz以上のエッジ・トリガ帯域幅、独自のエンベロープ・トリガ
- 14.1Gbpsのハードウェア・シリアル・トリガ - 特定の8b/10b、64b/66b、または汎用NRZパターンにトリガし、パターン特有の影響を特定
- ビット・エラー・ディテクタ - トリガ・システムに実装されており、ビットの取りこぼしがないように、定義されたパターン・ファイルに照らし合わせて簡易なビット・エラー測定を実施可能
長距離光コヒーレント通信、400Gデータ通信、ワイドバンドRFなどの超広帯域アプリケーションでは、低ノイズ、そして正確で高品質な信号アクイジションが不可欠です。代表機種であるDPO77002SX型は、ATI(非同期タイム・インターリーブ)技術を使用して、70GHz、200GS/s(5ps)のリアルタイム・アクイジション性能を実現しています。この特許技術の対称型アーキテクチャは、従来の周波数インターリーブ手法に比べて非常に優れた低ノイズ・アドバンテージを持ちます。DPO70000SXシリーズは、複雑な光変調解析、高速シリアル信号のジッタおよびノイズ解析、ワイドバンドRF信号の周波数、位相、および変調解析などに必要な低ノイズ、高信号品質、そして優れた性能をすべて備えています。


DPO70000SXシリーズATIパフォーマンス・オシロスコープ
- アナログ周波数帯域:70GHz、59GHz、50GHz
- 低ノイズを実現したATIアーキテクチャ
- リアルタイム・サンプル・レート:200GS/s、5ps/サンプル

DPO70000SXシリーズTekConnectパフォーマンス・オシロスコープ
- アナログ周波数帯域:33、25、23、20、16、13GHz
- リアルタイム・サンプル・レート:100GS/s、10ps/サンプル
- 周波数帯域はATI 70 GHz、59 GHz、50 GHz型にアップグレード可能
アプリケーション
- 光コヒーレント変調解析
- 調査/防衛関連データの収集と解析
- 100G/400Gデータコム・システムのデバッグ
- PCIeのデバッグ/コンプライアンス・テスト
- 高速シリアル通信のデバッグ/コンプライアンス・テスト
- PCIe、USB、Thunderbolt、HDMI、DisplayPort、その他
リアルタイム・スコープで超広帯域信号をデジタイズする従来のソリューションでは、2つの信号経路に信号エネルギーを分割した後で、DSPにより入力信号を再構築するという方式がとられています。こうした方式とは異なり、テクトロニクス独自のATI技術では、2つの信号経路で信号エネルギー全体をデジタイズするという対称型構造をとっており、これにより優れた内部ノイズ特性を実現しています。
次の図は、入力信号がATI ASICに入力され、そこでサンプリングされた後に、それぞれのデジタイジング・サブシステムに分波される仕組みを示しています。サンプル・クロックは75GHzで動作しており、デジタイズに先立って入力信号のスペクトラムが効率的に約37.5GHzの周波数帯域に折り返されます。それぞれのデジタイジング経路は100GS/sで動作し、ナイキスト基準を満たすように、折り返されたスペクトラムの帯域は40GHz未満に制限されます。逆相でサンプリングを行なうことによって、1つのデジタイジング経路の信号の位相が180度反転される効果が生まれます。これは、デジタイズされた信号を再構築する際に大きなメリットをもたらします。

デジタイズされた全信号エネルギーの2つのコピーを用い、信号スペクトラムはDSPによるサンプリング相当の処理によって「展開」され、さらに結合されて入力信号が再現されます。信号の2つのコピーが結合されるため、プロセスは効果的にアベレージ処理を実行することになり、ランダム・ノイズを低減することになります。サンプリング・プロセスによってもたらされた位相反転により、不要な周波数成分が互いに直接打ち消されることになるため、信号の再構築や校正を簡素化することができます。
このようにして、ATIアーキテクチャは、従来の帯域幅を向上させるための周波数インターリーブ手法よりも優れた内部S/N比特性を実現しています。従来の手法では、入力信号はすぐに高い周波数帯域と低い周波数帯域に分割されます。このとき、信号のパワーも分割され、高い周波数帯域はデジタイズ前にミックス・ダウンする必要があるのに対して、低い周波数帯域は直接デジタイズされます。こうした非対称的アプローチでは、信号の再構築や校正を困難にし、通過帯域周波数や位相応答に誤差を発生します。また、パワーを分割することにより、信号ノイズ低減の機会も失われます。ATIでは、独自の対照的アーキテクチャの採用により、こうした問題の発生を回避しています。
DPO77002SX型と他社の63GHzモデルで、ベースライン・ノイズを比較してみました。どちらも周波数帯域は60Ghzに設定されています。次の図に示すように、アクイジションにおけるノイズが低く抑えられており、ATIの優れた効果が実証されています。

優れたジッタ・ノイズ・フロア性能
マスタ・サンプル・クロックの設計を見なおしたことにより、サンプル・クロックのジッタが65fsRMSという驚異的な低さに抑えられています。さらに、ATIによって達成される優れた低ノイズ性能と組み合わせることで、DPO77002SX型は新たなレベルのジッタ・ノイズ・フロア(JNF)性能を実現しています。300mVFSでのJNFはわずか123fsRMSです。これは、周波数帯域がずっと低い計測器に匹敵する性能です。
以下の図は、ATI入力に印加された60GHzの正弦波に対するジッタ解析を示しています。クリーンなアイが示されており、ランダム・ジッタ(RJ)は80fsRMS未満に抑えられています。

DPO70000SXシリーズは、従来では考えられなかったワークスペースの効率的な利用と柔軟なシステム構成および設置方法が可能な、画期的な高性能小型・軽量オシロスコープです。SXシリーズは、大型外部モニタ、高度な自動化、データ収集と解析のワークスペース分離といった、ユーザの新しいニーズ動向に対応すべく、従来とはまったく異なる新しいアプローチによる超広帯域リアルタイム・アクイジションを提供します。
DPO70000SXシリーズは、外部ディスプレイ、キーボード、およびマウスの使用により、スタンドアロンで使用した場合でも、同クラスのベンチトップ計測器(DPO70000DX)と同等の機能および性能を半分の高さのスペースで実現できます。SXシリーズは拡張解析ソフトウェアのホストとして機能し、ベンチトップ型と同じように、内蔵または外部のコントロールを使用して計測を自動化できます。
DPO77002SX型70GHz ATI 高性能オシロスコープは、70GHz、200GS/s(1チャンネルの場合)または33GHz、100GS/s(2チャンネルの場合)のアクイジション性能を提供します。低ノイズ、70GHz入力チャンネル、1.85mmコネクタのATI入力チャンネルに加えて、最高33GHzでの幅広いプロービングや信号コンディショニングのオプションにも対応した、汎用性に優れたTekConnect入力(2.92mm)も備えています。

DPO73304SX型は、33GHz、100GS/s(2チャンネルの場合)または23GHz、50GS/s(4チャンネルの場合)のリアルタイム・アクイジション性能を提供します。このモデルのアクイジション性能は、ベンチトップ・オシロスコープのDPO73304DX型と同等ですが、より小型・軽量なパッケージで提供されます。
DPO70000SXシリーズのすべてのモデルは、エッジ・トリガ(25GHz以上)、グリッチ・トリガ(40ps未満)など、リアルタイム・オシロスコープとしては最高レベルの優れたトリガ性能を備えています。革新的な新しいウィンドウ・トリガでは、タイム・クオリフィケーションを使用して、RF信号バーストのエンベロープでトリガできるため、エンベロープ幅の識別が可能です。最高レベルのパルス幅タイマ性能により、高速シリアル・データ・ストリームの特定のビット幅を正確に識別したり、シグナリングの擬似ランダム・データの「ラント」パルスを検出することもできます。DPO70000SXシリーズの補助トリガ入力は、低ジッタのエッジ・トリガ機能を備えており、TekConnectアクセサリを使用することにより、さまざまな信号コンディショニングに対応できます。
優れた操作性
高さが同クラスのベンチトップ・オシロスコープの半分以下
DPO70000SXシリーズは、3U(約133.34mm)ラック・サイズというパッケージングにより、スペースの効率的な利用が可能で、ニーズに合わせて柔軟なマウント構成が可能です。DPO70000SXシリーズの機器を2台積み重ねても同クラスのベンチトップ・オシロスコープ以下の高さに抑えられるだけでなく、より優れた測定性能を達成できます。
スタンドアロンで優れた機能を装備したオシロスコープ
小型・軽量なパッケージングでありながら、SXシリーズはスタンドアロン計測器のすべての機能と性能を備えています。ジッタ、ノイズ、光変調またはスペクトラム解析などのテクトロニクスの拡張解析アプリケーションの機能を直接提供できるため、別途にプロセッサや制御装置を用意する必要がありません。

使い慣れたオシロスコープの操作感を再現
DPO7AFP型外部前面パネルは、本体から離れた場所から、慣れ親しんだコントロールを使用したい場合に役に立つユーザビリティ・アクセサリであり、コンパクトな計測器の利点をさらに生かすことができます。

リモート・デスクトップ操作
DPO/MSO70000シリーズの現行ベンチトップ・モデルと同様に、DPO70000SXシリーズは、Windows® Remote Desktopを使用して、ネットワーク越しに操作することができます。Windows Remote Desktop ユーティリティを使用することで、実験室、あるいは世界各地からオシロスコープを操作することができます。
マルチユニット・システムとの高精度な同期
DPO70000SXシリーズは、テクトロニクスのUltraSyncマルチユニット同期バスを備えています。UltraSyncは、スタンドアロン型のオシロスコープと同等の性能を確保しながら、複数の機器の間でサンプル・クロック、トリガ、および開始/停止などの制御を同期させるのに使用されます。UltraSyncケーブルは、1mと2mの長さのものが用意されており、マルチシステムでのタイミングの整合性を保ちながら、自由度の高い構成とレイアウトを行なうことできます。

UltraSyncバスは、次の3つのエレメントで構成されており、それぞれが正確なマルチユニット動作を実現するための重要な働きを担っています。
- UltraSyncでは、Masterによって12.5GHzのサンプル・クロック・リファレンス信号が生成されます。Extension側では、それぞれがその信号を使用して、デジタイジング・プロセスでサンプリング時間位置の同期が行われます。

- トリガ・バスでは、マルチユニットを構成するすべてのメンバーに対して開始/停止の制御が行われます。Master と Extension のどちらの機器もトリガ・ソースにできます。
- 制御およびExtension の機器からMasterへのデータ転送は、2Gbpsのデータ転送速度を持つPCIe(Gen2、×4)リンクによって行われます。
マルチユニット構成で機器を動作させるとき、DPO70000SXシリーズの1台の機器がMasterの役割を果たし、Extensionモードで動作する1台以上の機器を制御します。DPO70000SXシリーズでは、どのモデルもスタンドアロンのオシロスコープとして、さらにマルチユニット構成においてはMasterまたはExtensionのどちらのモードでも使用できます。そのような役割は、UltraSyncの配線方法によって決定されるので、他に必要なエレメントはありません。そのため、ユーザは制御装置やその他のアクセサリを使用することなく、マルチユニット構成をいつでも簡単に解除して、機器をスタンドアロンで動作させることができます。または、MasterとExtensionの間にUltraSyncケーブルを追加するだけで、スタンドアロンの機器を簡単に結合できます。
マルチユニット構成が起動される間、コンフィグレーション・マネージャ・アプリケーションによって、Master-Extensionのケーブル配線が検証され、エレメントが存在しない、あるいは設定が間違っている場合には、グラフィカルにフォードバックが表示されます。検証が完了すると、TekScopeユーザ・インタフェースが表示され、そこでMasterおよびExtensionの機器からの波形が各種の組込み機能やや拡張解析アプリケーションを使用して表示、解析用に収集されます。

スケーラブルな性能と柔軟なシステム構成
DPO70000SXシリーズをマルチユニット・モードで使用すると、性能の拡張、チャンネル数の増加といった、さまざまな構成が可能になります。Master-Extension構成では、内蔵チャンネルと同等の高精度に同期された入力チャンネルを追加し、インタラクティブな機器として、あるいは自動化アプリケーションのプログラミング・インタフェースとして、すべて1つのユーザ・インタフェースから制御できます。
このように、性能に関してもスケーラブルなアプローチをとることが可能であるため、4チャンネル、33GHz、100GS/sアクイジションという現在の要件に対応しつつ、2チャンネル、70GHz、200GS/sの性能で次世代の設計に備えることができます。さらに、機器を2台追加することで、70GHz、200GS/sで合計4チャンネルを利用できるようになります。この4台構成では、他のテスト要件に合わせて、各機器を二組に分けて稼動させたり、あるいは個々のスタンドアロン機器として利用することもできます。
DPO77002SX型は、RF解析やパルス・レーザの研究など、1チャンネルの70GHz、200GS/sアプリケーションでの利用をお考えのお客様にとって、優れた価値提案となる製品です。そうしたケースでは、ユーザは33GHz/2チャンネルおよび、70GHz/1チャンネルの製品を1台購入できます。さらに多くのチャンネル数が必要になったら、その時点で追加の機器を購入して、UltraSyncを使用して結合することができます。
マルチユニット構成では、次の組み合わせがサポートされます。
DPO77002SX型(2台):70GHz、200GS/s(2チャンネル)、または33GHz、100GS/s(4チャンネル)
DPO77002SX型(4台):70GHz、200GS/s(4チャンネル)、または133GHz、100GS/s(8チャンネル)
DPO75902SX型(2台):59GHz、200GS/s(2チャンネル)、または33GHz、100GS/s(4チャンネル)
DPO75902SX型(4台):59GHz、200GS/s(4チャンネル)、または133GHz、100GS/s(8チャンネル)
DPO75002SX型(2台):50GHz、200GS/s(2チャンネル)、または33GHz、100GS/s(4チャンネル)
DPO75002SX型(4台):50GHz、200GS/s(4チャンネル)、または133GHz、100GS/s(8チャンネル)
DPO73304SX型(2台):33GHz、100GS/s(4チャンネル)または123GHz、50GS/s
DPO73304SX型(4台):133GHz、100GS/s(8チャンネル)、または123GHz、50GS/s(16チャンネル)
DPO72504SX型(2台):25GHz、100GS/s(4チャンネル)、または123GHz、50GS/s(8チャンネル)
DPO72504SX型(4台):125GHz、100GS/s(8チャンネル)、または123GHz、50GS/s(16チャンネル)
DPO72304SX型(2台):23GHz、100GS/s(4チャンネル)、または123GHz、50GS/s(8チャンネル)
DPO72304SX型(4台):123GHz、100GS/s(8チャンネル)、または123GHz、50GS/s(16チャンネル)
DPO72004SX型(2台):20GHz、100GS/s(4チャンネル)、または120GHz、50GS/s(8チャンネル)
DPO72004SX型(4台):120GHz、100GS/s(8チャンネル)、または120GHz、50GS/s(16チャンネル)
DPO71604SX型(2台):16GHz、100GS/s(4チャンネル)、または116GHz、50GS/s(8チャンネル)
DPO71604SX型(4台):116GHz、100GS/s(8チャンネル)、または116GHz、50GS/s(16チャンネル)
DPO71304SX型(2台):13GHz、100GS/s(4チャンネル)、または113GHz、50GS/s(8チャンネル)
DPO71304SX型(4台):113GHz、100GS/s(8チャンネル)、または113GHz、50GS/s(16チャンネル)
スキュー安定度
UltraSyncは、マルチユニット・スタックを構成するユニットに、優れた統合性とタイム・アライメントをもたらします。マルチユニット・スタックでチャンネルのデスキューを行うと、時間の経過や温度の変化に関わりなく、スキューはきわめて安定した状態を保ちます。スキュー安定度の仕様値、250fsRMSです。次の図は、DPO77002SX型でのスキュー測定のプロットを示しています。起動直後からの温度安定化期間(およそ1時間)にありながらも、p-p変動は約400fsを示しており、1時間のウォームアップ期間が終わった後は、350fspk-pkで安定しています。このプロットは、12時間にも及ぶデータ収集においても、一貫した安定性が維持されていることも示しています。

スキューのもう一つの重要な側面は、周波数の変化に従って2つのチャンネル間の位相関係がどのように変化するかを評価することです(グループ遅延効果)。次のプロットは、2台のDPS77004SX型(70GHz)で構成されたシステムと、他社の周波数インターリーブによる63GHzマルチチャンネル・システムの性能を比較したものです。他社の1台の63GHzモデルによる2チャンネルの実装よりも、UltraSyncによる2チャンネルのスキュー性能の方が明らかに優れています。

信号経路長の短縮化
70GHzの超広帯域を扱うときには、入力信号経路長を最短にすることが特に重要です。コンパクトなDPO70000SXシリーズなら、機器と被測定装置(DUT)を同一場所に配置する際にも、さまざまな設置方法を選択することができます。外部前面パネルやリモート・デスクトップ接続などのオプションを使用すると、一度接続しておけば、機器の前面パネルを直接操作する必要がなくなるため、さらに柔軟な機器構成が可能になります。その結果、多様なDUT構成に対応しなければならないときでも、SXシリーズは従来のベンチ計測器よりも幅広い選択肢を検討できます。
入力信号経路長を最短にするには、マルチユニット構成でペアになった機器の1つを上下逆に設置します。70GHz ATI入力コネクタは下側の中央部にあるため、このような構成で機器を動作させると、入力コネクタの間隔を狭くすることができます。
機器は、カード/バックプレーン等の場合には直角に配置したり、小さなDUTなら向かい合わせに配置するなど、DUTのレイアウトに合わせてさまざまな角度に調整できます。こうしたレイアウトを活用すると、入力信号経路が最短になるため、SNRが最大になります。さらに、シリアル・データ・リンク解析アプリケーションを使用すれば、ケーブルやアダプタなどの信号経路を構成する各要素による影響を特性評価して、排除できるため、最良の解析結果が得られます。
アプリケーション
ハイスピード・シリアル


データコム測定
PAM4およびNRZ測定
データコム・ネットワークのスループットは増加の一途をたどっています。当社のDPO70000SXシリーズがあれば、今日の25/28G規格をはじめ、さまざまな規格への適合性を検証できます(下表を参照)。DPO70000SX シリーズでDPOJET ジッタ/ノイズ解析ツールやSDLAシリアル・データ・リンク解析ツールを使用することにより、これらの多くの主要規格に対しても、精度の高いディエンベッドやアイ・ダイアグラムの評価を実施できます。50GHz および70GHz モデルでは、ベッセル-トムソン(B-T)フィルタの周波数応答に対しても、十分な周波数帯域を提供します。
| データコム規格 | 推奨帯域幅 | 型名 | |
|---|---|---|---|
Ethernet 10GBASE KRn 100GBASE KR-4、CR-4 25Gb Phy KR、CR for 100G | 25GHz 59GHz 59GHz | DPO72504DX型 DPS75904SX型 DPS75904SX型 | |
Fibreチャンネル 16Gb 32Gb | 30GHz 45GHz | DPS75004SX型 DPS75004SX型 | |
Infiniband EDR 25Gb | 50GHz | DPS75004SX型 | |
OIF-CEI 3.0 CEI-25G | 70GHz | DPS77004SX型 | |
OIF-CEI 3.1 CEI-56G(PAM4) CEI-56G(NRZ) | 70GHz 70GHz | DPS77004SX型 DPS77004SX型 | |
400Gネットワーキングでは、シリアル・データの転送速度がチャンネルあたり56Gbpsにまで達しており、従来のNRZ信号による手法では対応できなくなりつつあります。この新たな性能レベルを達成するために、帯域効率に優れたPAM4(4値パルス振幅変調)シグナリングが広く使用されています。PAM4を正確に検証するには、業界最先端の低ノイズを誇るATIテクノロジを採用したDPO70000SXシリーズを使用することで、テスト・マージンを抑えた測定が可能になります。DPO70000SXシリーズのOpt. PAMJET-EおよびPAMJET-Oは、最先端のイコライゼーション・ツールに加えて、ISI PAM4信号の複雑なタイミングのリカバリや高度なISI解析に不可欠な、ソフトウェア・ベースの堅牢なクロック・リカバリ機能を内蔵するなど、PAM4の解析に最適な機能を備えています。

Opt. PAMJET-Eは電気測定、Opt. PAMJET-Oは光測定に対応しています。どちらもIEEEおよびOIFの仕様に準拠しています。DPO7OEシリーズ光プローブを使用することで、光信号とのインタフェースが提供され、ORRフィルタも使用できます。



ビット・エラー検出
ビット・エラー・ディテクタ(Opt. BITERR)は、600Mbps~14.1Gbpsのデータ・レートに対応した、シリアル・データ・テストに最適な簡素な汎用NRZビット・エラー・ディテクタです。シリアル・トランスミッタによって送信される繰返しパターンにおけるビット・エラーを検出します。この機能は、波形取込みではなく、トリガ・システムのハードウェアを活用して実装されているため、すべてのビットの検出/検証が可能であり、盲点となる期間やビットの取りこぼしが生じません。期待される入力パターンの定義には、パターン・マッチ・ファイルが使用されます。PRBSパターンが事前に定義されていますが、独自のパターン・マッチ・ファイルを作成することもできます。このオプション機能はプロトコル対応でないため、フレーム/シンボル/キャラクタ・エラーを検出することはできません。ビット・エラーが検出されると、オシロスコープは波形取込みをトリガするため、取込み波形にはビット・エラーが含まれます。シリアル・データ・ストリーム(8B/10Bなど)のテスト用にオプションのシリアル・デコーダも装備している場合には、デコード・データが含まれるため、エラーの解析/デバッグが容易に行えます。オプション ST14G 型が必要です。

リンク・トレーニング
高速シリアル・リンク・トレーニング解析(Opt. HSSLTA)は、10Gb~200Gb Ethernetリンクにおけるリンク・トレーニング・オペレーションの検証/デバッグに最適なツールです。設計における互換性の問題に直面しているネットワーク機器のプロバイダや、半導体メーカに役立つ強力なデバッグ機能を備えています。リンク・トレーニングとは、トランスミッタ/レシーバ間のネゴシエーションを行なう複雑なシーケンスであり、トランシーバに最適な設定を行なうために使用されます。HSSLTAでは、DPO70000SXシリーズの強力なトリガ機能を使用してデバイス間のリンク・トレーニングの交換を検知した後に、リンクのネゴシエーションに関連するプロトコル、タイミング、PHY信号の解析と表示を行います。設計者はその解析結果を元に検証を行うことで、リンク・トレーニングに生じたエラーの原因をすばやく特定できます。
リンク・トレーニングの問題を解決するために役立つ優れた機能を備えています。
- 物理層の信号伝達をリアルタイムに取り込めるため、詳細な解析が可能
- チャンネルのフィルタリングを制御することで、信号の核心部分のみを保存できるため、冗長なデータを排除しながら、重要な要素のみを観測できる
- 制御チャンネルの要素にタイムスタンプが付与されるため、リンク・トレーニング・プロセスの詳細な解析が可能
- 物理層の信号伝達とリンクした解析が可能なため、問題箇所をすばやく特定できる

コンプライアンス・ソフトウェア





コヒーレント光
光コヒーレント変調解析
DPO70000SXシリーズ・オシロスコープは、400Gbpsおよびテラビット・ベースの光コヒーレント・ネットワーク・システムにおける変調フォーマット解析に最適な機能を備えています。独自のアーキテクチャの採用により優れたスケーラビリティが実現されており、チャンネル数や帯域幅の追加による性能の拡張が可能です。コスト効果に優れた100Gのソリューションを導入しておけば、必要に応じて後から400Gや1テラビットに対応できる性能に拡張することができます。DPO70000SXは、ロー・プロファイル設計により、入力チャンネルにできるだけ近い位置に光レシーバを配置できるため、コヒーレント測定におけるシステム接続に起因する信号ロスの懸念が少なくなります。
変調解析の精度を上げるための第一歩は、エラー・ベクトル・マグニチュード(EVM)フロアを低くすることです。DPO70000SXシリーズ・オシロスコープでは、ATI技術を採用することにより、業界で最も低いノイズ・フロアを実現しています。さらに、それぞれが70GHzの全帯域で200GS/sという優れた性能の4つのチャンネルを利用できるため、きわめて充実した解析環境を構築できます。
- 70GHzの周波数帯域(4チャンネル)によりテラビット・ベースのシステムにも対応可能
- 業界随一の低ノイズ性能による優れたEVM性能
- 200GS/sのサンプリング・レート(4チャンネル)による位相のトラッキング
- チャンネル/帯域の拡張性に優れたコンパクトな筐体
ディスプレイ


モバイル・コンピューティング




RF
低ノイズと70GHzに対応したフラットな周波数応答を備えたDPO70000SXシリーズは、ワイドバンドRF信号の測定/解析にも最適です。
SignalVu®ベクトル信号解析
RFまたはベースバンド信号のベクトル信号解析が必要な場合は、オプションのSignalVu®アプリケーションを使用することで、周波数、時間、位相、変調などのさまざまなドメインを同時に測定できます。SignalVuによる測定結果は、オシロスコープの時間ドメインの取込みやトリガと完全に相関がとれます。RFサブシステムへのコマンドなどの時間ドメインのイベントは、トリガ・イベントとして使用でき、サブシステムのRF信号は周波数ドメインで観測できます。
スペクトログラム表示では、時間とともに変化する周波数と振幅の両方を表示します。周波数、位相、振幅、変調の各ドメインで時間相関のとれた測定が行えるため、周波数ホッピング、パルスの特性評価、変調方式の切り替え、セトリング時間、帯域幅の変更、間欠信号などの信号解析に最適です。
オシロスコープの任意の入力の中から、RF、I/Q、差動I/Q信号を処理できます。オシロスコープの演算機能も利用できるため、ベクトル信号解析の前にカスタム・フィルタをかけることもできます。
Microsoft Windowsの採用によりマルチドメイン解析がさらに容易になります。解析ウィンドウの数には制限がなく、すべて時間相関が取られ、信号の動きを詳細に調べることができます。ユーザの好みに応じたユーザ・インタフェース(キーボード、前面パネル、タッチ・スクリーン、マウス)により、SignalVuは初心者/熟練者を問わず簡単に習得できます。
時間相関を取ったマルチドメイン表示は、従来の解析ソリューションではなし得なかった、設計や運用時のトラブルシュートにおける新しいレベルの問題解決方法を提供。ここでは、ナローバンド信号のホッピング・パターンをスペクトログラムで観測し(左下)、そのホッピング特性を周波数対時間表示(左上)で正確に観測しています。時間と周波数の応答は、右側の2つの表示で信号が次の周波数にホッピングする様子を示しています。

レーダ/高周波ベースの解析
低ノイズ、広帯域のDPO70000SXシリーズ・オシロスコープは、高周波FFTベースの測定/解析に最適です。高性能なSignalVuソフトウェア・オプションと組み合わせることにより、DPO70000SXシリーズで最高70GHzのFFT(高速フーリエ変換)機能を利用できます。スケーラブルなアーキテクチャの採用により、導入時には1チャンネルの機器でRF入力のみの測定を行っていた場合も、後からマルチユニット構成を構築しながら、総合的なRFシステムの検証へと拡張することができます。
DPO70000SXシリーズの高周波RF測定機能の活用例:
- レーダ信号におけるチャープ直線性の測定(下図を参照)
- UEEE802.11ad/ay(64.8GHzのキャリア周波数)規格の無線LAN測定
- Kバンド(20~40GHz)による衛星通信システムのモニタ/デバッグ

70GHzオシロスコープのDPO70000SXシリーズで低ノイズの波形データを取込めば、後はSignalVuを使用して信号を復調し、コンスタレーション・ダイアグラムの表示やエラー・ベクトル・マグニチュード(EVM)およびその他の必要な測定を行えます。SignalVuでは、追加オプションを利用することで、レーダ・システムにおけるパルス解析やセトリング時間の測定、最新の変調規格に対応するためのデジタル変調解析OFDM解析、もちろんAM/FM/PM変調やオーディオ測定の帯域幅要件など、さまざまな領域において詳細な解析を実行できます。
- 業界随一の低ノイズ性能による優れたEVMフロア性能
- 70GHzの性能による広いダイナミック・レンジと高精度なチャープ直線性測定
- FFTおよび位相プロット生成機能による高速で正確な周波数ドメイン測定
ワイドバンドのアプリケーションに最適なオプション設定
SignalVuベクトルには、ワイドバンド・レーダ特性、広帯域衛星通信、またはスペクトラム管理など、特定のアプリケーションに最適なオプションが用意されています。SignalVu Essential(Opt. SVE)は基本的な測定機能を備えており、パルス解析機能(Opt. SVP)、セトリング時間(Opt. SVT)、デジタル変調解析機能(Opt. SVM)、OFDM解析(Opt. SVO)、およびAM/FM/PM変調およびオーディオ測定(Opt. SVA)を使用する場合にも必要です。ワイドバンド衛星リンクとマイクロ波伝送信号は、SignalVu解析ソフトウェアで直接観測することができます。

WiGig IEEE802.11ad/ayトランスミッタ・テスト
Opt. SV30は、WiGig IEEE802.11ad/ay ICの特性評価に対応した包括的な解析機能を提供します。DPO77002SX型で使用することにより、業界トップクラスの優れた確度による60GHzでの信号品質測定が可能になります。Startパケットが自動的に検出されるほか、ヘッダに含まれるパケット情報のデコードやショート・トレーニング・フィールドのゴレイ符号を使用したプリアンブルによる同期が可能で、プリアンブル、ヘッダ、ペイロードを個別に復調し、規格に従ってそれぞれのセクションのEVMが測定されます。
Opt. SV30を使用することで、規格要件と比較した場合のEVM性能の有意差が明確になります。チャンネル・インパルス係数も利用できます。Control PHY(802.11ad)とSingle Carrier PHY(802.11adおよび802.11ay)がサポートされているため、802.11ayの2.16GHzパケットまたは隣接2チャンネル結合の4.23GHzパケットの解析にも対応しています。
テストおよび検証はIFおよびRFのセットアップで実施できます。サマリ表示には、RFパワー、受信電力インジケータ(RCPI)、周波数誤差(最大、平均、標準偏差)、DCオフセット、IQ DC原点オフセット、IQゲイン/位相不均衡、信号品質、SNR推定部などが表示されます。パス/フェイル判定では、カスタマイズ可能なリミットを使用できます。また、プリセットを使用すれば、ボタンを押すだけでテスト・セットアップを実行できます。
信号をさらに詳細に解析できるように、色分けされたユーザ・インタフェースが採用されています。パケット全体に広がるEVMも領域ごとに見やすく色分けしながら解析を進められます。復調されたシンボルを色分けして表形式で表示できるほか、それぞれの領域の開始ポイントに移動するオプションも用意されているため、効率的なナビゲーションが可能です。

| 変調形式 | 802.11ad:MCS0-12.6 802.11ay:MCS1-21 |
802.11ad/ay Single Carrier:π/2 BPSK、π/2 QPSK、π/2 16QAM、π/2 64QAM 802.11ad Control PHY:π/2 DBPSK | |
| 測定項目 | RF出力パワー、受信チャンネル・パワー・インジケータ(RCPI)、推定SNR、周波数誤差、シンボル・レート誤差、IQ原点オフセット、IQ位相不均衡、IQゲイン不均衡、IQ直交エラー、各パケット領域(STF、CEF、ヘッダおよびデータ)のEVM合否判定。パケット情報には、パケット・タイプ、プリアンブル、同期ワードまたはアクセス・コード、パケット・ヘッダ、ペイロード長、およびCRCの詳細が含まれる |
| 表示 | コンスタレーション、EVM対時間、シンボル・テーブル、サマリ |
残留EVM、DPO770002SX型のRF(チャンネル1~6)で測定
DPO770002SX型では、測定の不確かさは±0.3%です。これはプリ補正フィルタおよびAWG70000シリーズ/アップコンバータの影響によります。
802.11ad MCS0-12.6 | 802.11ay MCS1-21 | |
| チャンネル1~4 | 1.2~1.6% (-38.4~-35.9 dBc) | 1.2~1.6% (-38.4~-35.9 dBc) |
| チャンネル5~6 | 1.4~2.5% (-37.1~-32.0 dBc) | 1.4~2.5% (-37.1~-32.0 dBc) |
| チャンネル1~2、2~3、3~4 (隣接接合) | NA | 1.2~1.7% (-38.4~-35.4 dBc) |
| チャンネル4~5、5~6 (隣接接合) | NA | 2.5%未満 (-32.0dBc未満) |
拡張解析機能
DPOJET(包括的ジッタ/ノイズ解析機能)
DPOJETを使用することで、エンジニアはリアルタイム・オシロスコープで高感度、高確度な測定を行うことが可能になります。DPOJETの総合的なジッタ/アイ・ダイアグラム解析と分離アルゴリズムにより、今日の高速シリアル、デジタル/通信システム設計におけるシグナル・インテグリティの問題検出が容易になります。
DPO7OE1およびDPO7OE2型光プローブで取り込んだ信号の測定に対応するために、DPOJETは光測定機能にも対応するようになりました。測定項目としては、消光比(ER)、光変調振幅(OMA)、光信号のハイ/ロー値などがあります。

DPOJET(Opt. DJAN)によるノイズ解析
Jitter Essentials、拡張解析機能、およびカスタム機能
DPOJET EssentialsはDPO70000SXシリーズに標準で添付されており、DPOJET Advancedはオプションで用意されています。DPOJETの他にも、アプリケーションに特化した測定パッケージが用意されており、業界独自の規格グループに応じたテストを実行できます。
SDLAによる信号経路のディエンベッドとカスタム・フィルタ
信号速度の高速化と微細化により、次世代マルチギガビットの設計、テストには数多くの問題が発生しています。最新の設計技術では、トランスミッタおよびレシーバに先進のイコライゼーション技術を使用することにより、そのような問題に対処しています。しかし、小型化によって信号へのアクセスがさらに困難になり、理想的なプローブ・ポイントを利用できなくなりつつあります。そのため、理想的な測定ポイントには存在しないインピーダンスの不連続が原因となり、取り込まれた信号に損失や反射が発生することがあります。最新技術を使用した設計では、測定においても最新の測定ソリューションが求められています。問題は信号のアクイジションから始まります。ケーブル、プローブ、フィクスチャを経由して取り込んだ信号は、その波形形状が歪みます。SDLA Visualizerは、トランスミッタ出力とレシーバ入力のインピーダンスを考慮しながら、測定回路(ケーブル、プローブ、フィクスチャ)による影響(反射、インサーション・ロス、クロス・カップリング)をディエンベッドします。これらの影響をディエンベッドすることにより、測定の確度が向上し、テスト合否において差がでます。

信号経路のイコライゼーション
オプションのシリアル・データ・リンク解析ビジュアライザ(SDLA64)を使用すると、Sパラメータからシリアル・データ・チャンネルのエミュレート、フィクスチャ、ケーブル、プローブなどが原因となる反射、クロスカップリングおよび損失の除去、さらにCTLE、DFE、FFEなどのレシーバ・イコライゼーション技術を使用して、チャンネル効果によって閉じたアイを開くことができます。半導体固有のレシーバ・イコライゼーション用IBIS-AMIモデルを使用することで、オンチップの動作が観測できます。
次のアイ・ダイアグラムは、チャンネルの前後、イコライゼーション適用後の信号の相関アイを示しています。SDLAを使用することで、チャンネル効果によって生じたアイ・クロージャが効果的に解消されており、この例では、左側と右側のアイ・ダイアグラムでアイの幅が3ps以内であることが示されています。

カスタム・フィルタ
独自のフィルタの作成、あるいはDPO70000SXシリーズに標準で付属するフィルタの使用により、信号の成分(ノイズや特定の高調波成分)を分離、除去できます。これらのカスタマイズ可能なFIRフィルタは、信号プリエンファシスの除去、またはDUTに接続されたフィクスチャやケーブルによる影響の最小化などの信号処理技術に適用できます。
SignalCorrect™ソフトウェアおよびTCS70902型校正ソース


カウンタ/タイマ
DPO70000SXシリーズ・オシロスコープでは、新しいトリガ・システムにより、高分解能カウンタ/タイマをオプション機能として利用できるようになりました。この高精度周波数カウンタは、最高25GHzの周波数を最大13桁、12桁/秒の分解能で解析できます。このカウンタは、内部クロックを使用して、1ppm以上の高精度で測定できます。より高い精度が必要な場合には、高精度外部クロック・ソースも使用できます。この測定はトリガ・システムによって行われるため、通常のアクイジション・チャンネルの有限なデータ・ブロックに対して測定を行うのではなく、トリガのゲート時間内の各信号のすべてのサイクルに対して測定を行います。

この機能により、安定した高精度のクロックを使用した測定が可能になります。このスクリーン・キャプチャでは、8GHzのプレシジョン・ソースにおいて、212μHzの偏位がソース・ワンダとして示されています。この図では、信号ジェネレータが8.00000000001GHzに設定された場合を示していますが、スコープは正確にその数値を測定しています。
タイマを使用することで、分解能が200fsのトリガ・イベント間で、正確に測定を行えます。さらにイベントAからイベントBまでの時間も測定できます。この場合、イベントAとBは、有効なトリガ・モード(グリッチ、ラント、エッジなど)であればタイプは問いません。この機能は伝播遅延の測定や異常発生率の解析に役立ちます。
通常のカウンタ/タイマと比較して、本機のカウンタ/タイマは次の3つの点において優れています。
- アナログ周波数帯域:25GHz超
- 豊富なスコープ用広帯域プローブを利用できるため、優れた信号忠実度によりDUTとの接続が可能
- 波形を画面上に表示できるため、カウンタ/タイマが正しい波形を表示しており、波形に合った適切なトリガ・レベルが設定されていることを確認可能
充実の解析システム
DPO70000SXシリーズには、信号の動きの可視化や測定に役立つ豊富な機能が内蔵されています。54種類の自動測定項目は、振幅、時間、ヒストグラムおよびコミュニケーションの各カテゴリ別に配置されたグラフィカル・パレットから選択できます。さらに、平均値、最小値、最大値、標準偏差、母集団などの統計値も同時測定できます。
波形データを被演算子として定義することもできます。通常の波形演算関数は、スクリーン上のボタンから選択できます。さらに、ライブ波形、リファレンス波形、演算関数、測定値、定数およびユーザ定義の変数まで演算式に組み込むことができ、電卓スタイルの編集が可能です。
ロング・メモリにより、膨大なサイクルにおけるマージン・テストや、長時間におけるトレンドを観測することができます。さらに、オシロスコープで取込んだデータは、独自のExcelツールバーを使ってMicrosoft Excelに送ることができ、DPO70000SXシリーズに付属するWordツールバーを使って独自のフォーマットでカスタムレポートを作成することもできます。
MATLABによるカスタム演算式
MATLABを使用したテクトロニクスのカスタム演算式を使用して、MATLABスクリプトを作成し、波形データをライブ処理しながら、結果をスコープの演算波形に返すことができます。また、ExtensionでもMATLAB機能を使用して、専用の解析および可視化機能を作成できます。

デバッギング
DPO70000SXシリーズは、デザイン・サイクルにおけるサブシステムの障害をデバッグし、原因を特定することができます。FastAcq®の高速波形取込レートにより、間欠的に発生する異常信号をすばやく検出出るため、何日もかかる作業が大幅に短縮できます。さらに、最新のトリガ・モードにより原因をすばやく特定することもできます。Pinpoint®トリガにより、バスの衝突やシグナル・インテグリティ問題によって生ずるグリッチやラントなどの間欠イベントを取込み、解析することで問題を解決することが可能になります。
FastAcq®は問題点を明示し、迅速なデバッグを可能にします
テクトロニクスの特許であるDPX®によって実現したFastAcq取込機能は、単なるカラー・グレーディング、イベント・スキャンとは異なり、毎秒300,000波形以上(全TekConnect®チャンネル同時)2の波形更新レートを持ち、間欠的に発生する異常信号を検出する能力が大幅に向上しています。さらに、輝度調整ノブを回すことで発生頻度が少ない波形も明確に表示でき、今まで見えなかった信号を観測することができます。短時間における高速波形取込レートを実現しているオシロスコープもありますが、DPXによってこれほどの高速の波形取込レートを実現しているオシロスコープはDPO70000シリーズだけです。
Pinpoint®トリガ
問題のある信号の検出、あるいは複雑な信号の特定部分を切り分けて詳細に解析するには、Pinpointトリガを使用します。Pinpointトリガは、Aトリガ、Bトリガ両方のほとんどすべてのトリガ・タイプが設定できるため、シーケンシャルなトリガ・イベントの検出が可能になります。Pinpointトリガにはトリガ・リセット機能があり、設定した時間、ステート、トランジションの後に再度トリガ・シーケンスを開始することができるため、複雑な信号におけるイベントであっても取込むことができます。
DPO70000SXシリーズは、リアルタイム・スコープとして最高水準の性能のトリガ・システムを提供しています。次の図は、25.78Gbaud(100GbE)で伝送される信号で、50ps未満という短いビット幅のラント・パルス(指定時間内にどちらのスレッショルドも横切っていない)にトリガした様子を示しています。システムの帯域幅が広く、優れた確度のトリガ・タイマにより、信号のアベレーションを確実に捕捉し、障害状態を効果的に検出できます。

次の図では、パルス幅識別機能を使用して、40~60ps幅のパルスを検出しています。20GbpsのPRBS11シーケンス内部の50psのパルスが的確に捕捉されています。

DPO70000SXシリーズは、独自のエンベロープ・トリガ・モードを備えており、変調されたキャリアのエンベロープで直接トリガできます。検出されたエンベロープにエッジ、幅、タイムアウトといったトリガ・タイプを適用できるため、変調されたバーストでも安定したトリガが可能なだけでなく、特定の幅のバーストを検出することもできます。キャリア周波数範囲が500MHz~20GHzと広いため、さまざまなアプリケーションに対応できます。次の図は、特定の幅のバーストでトリガした例を示しています。

ハードウェア・シリアル・パターン・トリガ
シリアル・アーキテクチャを検証するために、DPO70000SXシリーズは2種類のシリアル・パターン・トリガ/デコード・オプションと内蔵のクロック・リカバリ機能を搭載し、物理レイヤ、リンク・レイヤにおいてイベントを関連付けることができます。オシロスコープでは、エンベデッド・クロック信号を抽出し、トランジションを識別できるため、エンコード・ワードを設定することで、特定のシリアル・パターンでトリガできます。DPO70000SXシリーズでは、2種類のオプションを装備することでこれらの機能が有効になります。Opt. ST14Gは、600Mbps~14.1Gbpsという優れたシリアル・トリガ性能を備え、8b/10b NRZシリアル・データ・ストリームのビット・レベルまたはキャラクタ・レベルのトリガ/デコードの機能を提供します。Opt. SR-6466は、64b/66b NRZシリアル・トリガ/デコードの機能を提供します(Opt. ST14Gが必要)。ハードウェア・シリアル・トリガ・オプションのソースとして、任意のアクティブなTekConnect入力チャンネルを使用できます。
汎用NRZシリアル・パターンおよび8b/10bには、160ビット(16キャラクタ)のパターン・マッチ機能が適用されます。シリアル・データ・シーケンスの特定のセクションで確実にトリガを実行できるため、シリアル・データ・ストリームの部分的な検証が可能になり、効率的な診断やデバッグが行えます。64b/66b固有のパターンに対しても、このオプションは有効/無効のSyncヘッダ、コントロール・ブロック、データ・ブロックでのトリガ機能を発揮し、(隣接する2つの64b/66bブロックでの)最大132ビットのパターン・マッチ機能を備えています。
さらに、ハードウェア・シリアル・トリガ機能は、0~5,000ppsのダウンスプレッドのスペクトラム拡散クロック(SSC)が存在する状況でも、信頼性の高い動作が可能です。

ビジュアル・トリガ
ビジュアル・トリガはPinpointトリガの機能をさらに拡張し、さまざまな複雑な信号から重要なイベントを検出することができます。ビジュアル・トリガでは、Pinpointトリガで取込んだすべての波形取込をスキャンし、ディスプレイに表示されるエリア(図形形状)と比較します。マウスまたはタッチスクリーンにより最大8つのエリアが設定でき、三角形、長方形、六角形、台形などの形状が作成でき、さまざまなトリガ動作に対応するエリアが設定できます。形状が作成できれば、必要に応じて理想的なトリガ条件になるように編集することもできます。

FastFrame™アクイジション
バスのバーストなどの重要なイベントが時間的に離れている場合、DPO70000SXシリーズに搭載されているFastFrameセグメント・メモリ機能を使用すると、アクイジション・メモリの内容を観測しながらこのようなイベントを取込むことができます。マルチ・トリガ・イベントを使用すると、FastFrameは短いバースト信号を取込み、フレームとして保存するため、後から詳細に観測、解析することができます。数千というフレームを取込むことができるため、バースト信号の長時間におけるトレンド、変化を解析することができます。また、FastFrameはトリガ・リアーム時間を最小にできるため、きわめて短い間隔で発生するイベントにも対応できます。この機能を使用すれば、わずか数マイクロ秒の短い間隔の信号も確実に取り込めます。
FastFrameの拡張機能には、すべてのフレームについてポイントごとに平均を計算し、効率的に単一の波形を作成する機能もあります(Summary Frame)。さらに、直交平均を実行できるため、複数組のフレームも取り込むことができます。このモードでは、それぞれ1番目のフレームについては他のすべての1番目のフレームとポイントごとに平均をとり、2番目のフレームについては他のすべての2番目のフレームと平均をとるという具合に、指定したフレームの総数に達するまで、処理が繰り返されます。この機能は、オシロスコープのダイナミック・レンジを拡大するためのきわめて効率的な手段であるだけでなく、イベントの反復シーケンスの取込みにも有効です。
拡張イベント・サーチ/マーク
システム障害の原因となる重要なイベントの検出は時間のかかる作業です。DPO70000SXシリーズに標準の拡張イベント・サーチ/マーク機能は、データを調べ、重要なイベントにはマークを付け、不要なイベントはスキップし、イベント間の関係が容易に理解できます。この機能により、長いレコード長の取込みにおいても、簡単にイベント間を移動して、検出するのが難しいイベントをすばやく検出することができます。拡張サーチは、個々に設定したり、オシロスコープのトリガでサーチ設定したりすることもできます。ビジュアル・トリガの領域も、拡張イベント・サーチ/マークの条件設定に利用できます。

プロービングとリモートヘッド同軸入力
システムのデバッグでは、信号にどのように接続するかが大きな問題となることがあります。当社では、P7700/P7600/P7500シリーズTriMode™プロービング・システムなど、DPO70000SXシリーズに完全にマッチした周波数帯域をもつ、豊富なプロービング・ソリューションをご用意しています。P7700/P7600/P7500シリーズTriModeプローブ独自の機能により、プローブの接続ポイントをつなぎ変えることなく、差動測定、シングルエンド測定、コモン・モード測定を行うことができます。P7600シリーズは、低ノイズ、33GHz帯域とTriModeによるプロービングが可能です。P7500シリーズは4~25GHzの周波数帯域があり、低コストの半田付けチップも用意されており、数多くの半田付けポイントにすばやく、簡単に切り替えることができます。

P7700シリーズTriModeプローブ
P7700シリーズTriModeプローブは、リアルタイム・オシロスコープに最適な優れた信号忠実度を実現しています。さらに、チップ先端からわずか数ミリの位置にプローブの入力バッファが取り付けられた、はんだ付け用チップなど革新的な接続性能を備えたP7700シリーズ・プローブは、難度の高い接続が求められる最新の電子設計においても、優れた操作性を発揮します。

DPO7OEシリーズ光プローブ
DPO7OEシリーズ光プローブは、高速シリアル・データ信号用の光リファレンス・レシーバとして使用できるほか(選択可能なベッセル-トムソン(B-T)ORRフィルタを使用可能)、使いやすいO/Eコンバータとして、一般的な広帯域光信号のアクイジションにも使用できます。DPO7OEシリーズは、DPO/MSO70000 C/DX/SXモデルに対応しています。TekConnectチャンネルに接続することで、最高33GHzの周波数帯域に対応できます。また、ATIチャンネルに接続することで、DPO7OE1型は最高42GHz、DPO7OE2型は最高59GHzという優れた電気的応答性を実現します。

信号のアクイジション
ATI入力
DPO77002SX型の70GHz ATI入力チャンネルには、67GHz(代表性能値は70GHz)に対応した業界標準の1.85mm/V同軸コネクタを採用しています。機械的な強度を高め、ジェンダーを選択できるように、校正グレードの1.85mmアダプタ(メス-メス)が付属しており、ATI入力コネクタ(オス)に装着されています。また、機器には、信号経路の構成要素を適切に処理し、設置するのに役立つ帯電防止用リスト・ストラップ、トルク・レンチ、バッキング・レンチ・セットも付属しています。1.85mmのコネクタは、2.4mm(50GHz)の部品とも互換性があります。
TekConnect®入力
DPO70000SXシリーズは、TekConnect信号インターコネクト・システムを標準で備えているため、さまざまな機能に対応した豊富なアクセサリを活用しながら、さまざまな信号の解析やコンディショニングにご利用いただけます。TCA292D型TekConnectアダプタを使用することにより、2.92mm、50Ωの同軸環境を33GHzのシステムに接続することもできます。
高性能補助トリガ入力
DPO70000SXシリーズは補助トリガ入力(TekConnect)を備えているため、アクイジション・チャンネルを消費することなく、高性能なエッジ・トリガを行えます。DPO70000SXシリーズでは、補助トリガの帯域幅は10GHz以上、ジッタは1.5psRMS未満です。
チャンネル・タイミング・デスキュー
DPO70000SXシリーズのすべてのモデルは、1.6ps未満でマッチングのとれた高速エッジの差動出力コネクタを前面パネルに備えているため、同軸環境でチャンネルのタイミングを調整したい場合にソースとして使用できます。機器には、内蔵ソースを使用してチャンネル間デスキューを実施する際に必要なアクセサリが付属しています。また、オプションのアクセサリをご購入いただくことで、プローブ・ベースの環境でより高い分解能による調整やデスキューを実施できます。
DPO7RFシグナルパス・ソリューション
DPO7RFは、さまざまなコンポーネントで構成されたシグナルパス・ソリューションであり、超広帯域アプリケーションで測定性能を最適化するのに使用できます。キットはアッテネータ、アダプタ、DCブロック、パワー・デバイダ、清掃用綿棒、カラー・バンド、Sパラメータおよびマニュアルで構成されています。
- キットおよびケーブル(USBメモリ・スティックにSパラメータ・ファイルおよびマニュアルを収録)
- 信号経路マーキング用アクセサリが付属
- RFコンポーネントを適切にメンテナンスするための清掃用綿棒が付属



ベンチでもラックでも快適な使用環境を構築
DPO70000SXシリーズは、ベンチ環境でもラック環境でも同じようにご使用になれます。また、豊富なオプション部品が用意されているため、どのような環境にも対応できます。
UltraSyncケーブルは、1mと2mの長さのものが用意されており、環境に合わせて柔軟な構成が可能です。既定の1mのケーブルは、2台および4台の機器を、通常のように積み重ねて使用する場合に使用します。長いケーブルを使用すれば、互いに90度の角度で並べたり、DUTを囲むように向かい合わせに配置した状態で使用することができます。アプリケーションやシステムのチャンネル間のタイミングを正確に一致させるために必要なデスキューの要件に合わせて、異なる長さのケーブルを混在させることもできます。
機器を積み重ねた際の安定性を高めるために、機器には脚の位置に合わせて窪みが付けられています。これは上下を逆にした状態で積み重ねる場合や、OM4000シリーズ光レシーバなどの別の製品を混在させる場合にも役に立ちます。また、あらかじめネジ穴も開けられているので、サイド・ブラケットを用意すれば、決まった組み合わせの機器を常に固定した状態で使用することができます。

ラック環境
DPO70000SXシリーズ用ラックマウントは、トレイを機器に直接取り付けます。機器の高さ(3U)とは別にトレイの分の高さ(1U)が必要ですが、冷却に必要なスペースが確保されます。ラックマウントには頑丈なキャリー・ハンドルが取り付けられているため、機器をラックの外に移動する際にも便利です。
ラックマウント・キットを使用すれば、ベンチ上に積み重ねるときと同じように、通常どおりに取り付けることも、あるいは上下を逆向きに取り付けることもできます。
DPO70000SXシリーズ用ラックマウント・トレイには、前面にソリッド・ステート・ドライブ(SSD)を取り付ける場所も用意されているため、 ラック環境でも大容量ストレージに簡単にアクセスできます。
仕様
すべての仕様は、特に断りのないかぎり、保証値を示します。すべての仕様は、特に断りのないかぎり、すべての機種に適用されます。
モデル概要
| DPO77002SX型/DPS77004SX型 | DPO75902SX型/DPS75904SX型 | DPO75002SX型/DPS75004SX型 | ||||
|---|---|---|---|---|---|---|
| ATIチャンネル | TekConnectチャンネル | ATIチャンネル | TekConnectチャンネル | ATIチャンネル | TekConnectチャンネル | |
| アナログ・チャンネル数/周波数帯域 | DPO77002SX型 1ch/67GHz 1ch/70GHz(代表値) DPS77004SX型 2ch/67GHz 2ch/70GHz(代表値) | DPO77002SX型 2ch/33GHz DPS77004SX型 4ch/33GHz | DPO75902SX型 1ch/59GHz DPS75904SX型 2ch/59GHz | DPO75902SX型 2ch/33GHz DPS75904SX型 4ch/33GHz | DPO75002SX型 1ch/50GHz DPS75004SX型 2ch/50GHz | DPO75002SX型 2ch/33GHz DPS75004SX型 4ch/33GHz |
| チャンネルあたりのサンプル・レート | 200GS/s | 100GS/s | 200GS/s | 100GS/s | 200GS/s | 100GS/s |
| 立上り時間(代表値) | 10%~90%:5.6ps 20%~80%:4.3ps | 10%~90%:13ps 20%~80%:9ps | 10%~90%:6.8ps 20%~80%:5.2ps | 10%~90%:13ps 20%~80%:9ps | 10%~90%:7.8ps 20%~80%:6ps | 10%~90%:13ps 20%~80%:9ps |
| 垂直軸ノイズ(フル・スケールに対する%)、拡張帯域:オン、最高サンプル・レートにて(代表値) | フル・スケールの0.83%、0Vオフセット(300mVFS) | フル・スケールの0.71%、0Vオフセット(500mVFS) | フル・スケールの0.77%、0Vオフセット(300mVFS) | フル・スケールの0.71%、0Vオフセット(500mVFS) | フル・スケールの0.69%、0Vオフセット(300mVFS) | フル・スケールの0.71%、0Vオフセット(500mVFS) |
| レコード長(ポイント、各チャンネル、標準) | 62.5M | 62.5M | 62.5M | 62.5M | 62.5M | 62.5M |
| レコード長(ポイント、各チャンネル、Opt. 10XL) | 125M | 125M | 125M | 125M | 125M | 125M |
| レコード長(ポイント、各チャンネル、Opt. 20XL) | 250M | 250M | 250M | 250M | 250M | 250M |
| レコード長(ポイント、各チャンネル、Opt. 50XL) | 1G | 1G | 1G | 1G | 1G | 1G |
| タイミング分解能 | 5ps(200GS/s) | 10ps(100GS/s) | 5ps(200GS/s) | 10ps(100GS/s) | 5ps(200GS/s) | 10ps(100GS/s) |
| 最高サンプル・レートでの記録時間(標準) | 313μs | 625µs | 313μs | 625µs | 313μs | 625µs |
| 最高サンプル・レートでの記録時間(Opt. 10XL) | 625µs | 1.25ms | 625µs | 1.25ms | 625µs | 1.25ms |
| 最高サンプル・レートでの記録時間(Opt. 20XL) | 1.25ms | 2.5ms | 1.25ms | 2.5ms | 1.25ms | 2.5ms |
| 最高サンプル・レートでの記録時間(Opt. 50XL) | 5.0ms | 10ms | 5.0ms | 10ms | 5.0ms | 10ms |
| DPO77002SX型 | DPS77004SX型 | DPO73304SX型 | DPS73308SX型 | |||
| シングル・ユニット | 2ユニット・システム | シングル・ユニット | 2ユニット・システム | |||
| ATIチャンネル | TekConnectチャンネル | ATIチャンネル | TekConnectチャンネル | TekConnectチャンネル | TekConnectチャンネル | |
| アナログ・チャンネル数/周波数帯域 | 1ch/70GHz(代表値) 1ch/67GHz | 2ch/33GHz | 2ch/70GHz(代表値) 2ch/67GHzか | 4ch/33GHz | 2/33GHz、4/23GHz | 4/33GHz、8/23GHz |
| チャンネルあたりのサンプル・レート | 200GS/s | 100GS/s | 200GS/s | 100GS/s | 100GS/s(2チャンネル)、50GS/s(4チャンネル) | 100GS/s(4チャンネル)、50GS/s(8チャンネル) |
| 立上り時間(代表値) | 10%~90%:5.6ps 20%~80%:4.3ps | 10%~90%:13ps 20%~80%:9ps | 10%~90%:5.6ps 20%~80%:4.3ps | 10%~90%:13ps 20%~80%:9ps | 10%~90%:13ps 20%~80%:9ps | 10%~90%:13ps 20%~80%:9ps |
| 垂直軸ノイズ(フル・スケールに対する%)、拡張帯域:オン、最高サンプル・レートにて(代表値) | フル・スケールの0.83%、0Vオフセット(300mVFS) | フル・スケールの0.71%、0Vオフセット(500mVFS) | フル・スケールの0.83%、0Vオフセット(300mVFS) | フル・スケールの0.71%、0Vオフセット(500mVFS) | フル・スケールの0.71%、0Vオフセット(500mVFS) | フル・スケールの0.71%、0Vオフセット(500mVFS) |
| レコード長(ポイント、各チャンネル、標準) | 62.5M | 62.5M | 62.5M | 62.5M | 62.5M | 62.5M |
| レコード長(ポイント、各チャンネル、Opt. 10XL) | 125M | 125M | 125M | 125M | 125M | 125M |
| レコード長(ポイント、各チャンネル、Opt. 20XL) | 250M | 250M | 250M | 250M | 250M | 250M |
| レコード長(ポイント、各チャンネル、Opt. 50XL) | 1G | 1G | 1G | 1G | 1G(2チャンネル)、500M(4チャンネル) | 1G(各ユニット、2チャンネル)、500M(各ユニット、4チャンネル) |
| タイミング分解能 | 5ps(200GS/s) | 10ps(100GS/s) | 5ps(200GS/s) | 10ps(100GS/s) | 10ps(100GS/s) | 10ps(100GS/s) |
| 最高サンプル・レートでの記録時間(標準) | 313μs | 625µs | 313μs | 625µs | 625µs | 625µs |
| 最高サンプル・レートでの記録時間(Opt. 10XL) | 625µs | 1.25ms | 625µs | 1.25ms | 1.25ms | 1.25ms |
| 最高サンプル・レートでの記録時間(Opt. 20XL) | 1.25ms | 2.5ms | 1.25ms | 2.5ms | 2.5ms | 2.5ms |
| 最高サンプル・レートでの記録時間(Opt. 50XL) | 5.0ms | 10ms | 5.0ms | 10ms | 10ms | 10ms |
| DPO73304SX/DPS73308SX | DPO72504SX | DPO72304SX | DPO72004SX | DPO71604SX型 | DPO71304SX型 | |
|---|---|---|---|---|---|---|
| TekConnectチャンネル | TekConnectチャンネル | TekConnectチャンネル | TekConnectチャンネル | TekConnectチャンネル | TekConnectチャンネル | |
| アナログ・チャンネル数/周波数帯域 | DPO73304SX型 33GHz(2Ch)、23GHz(4Ch) DPS73308SX 33GHz(4Ch)、23GHz(8Ch) | 25GHz(2Ch)、23GHz(4Ch) | 4ch/23GHz | 4ch/20GHz | 4ch/16GHz | 4ch/13GHz |
| チャンネルあたりのサンプル・レート | DPO73304SX型 100GS/s(2チャンネル)、50GS/s(4チャンネル) DPS73308SX 100GS/s(4チャンネル)、50GS/s(8チャンネル) | 100GS/s(2チャンネル)、50GS/s(4チャンネル) | 100GS/s(2チャンネル)、50GS/s(4チャンネル) | 100GS/s(2チャンネル)、50GS/s(4チャンネル) | 100GS/s(2チャンネル)、50GS/s(4チャンネル) | 100GS/s(2チャンネル)、50GS/s(4チャンネル) |
| 立上り時間(代表値) | 10%~90%:13ps 20%~80%:9ps | 10%~90%:16ps 20%~80%:12ps | 10%~90%:17ps 20%~80%:13ps | 10%~90%:22ps 20%~80%:15ps | 10%~90%:26ps 20%~80%:19ps | 10%~90%:32ps 20%~80%:23ps |
| 垂直軸ノイズ(フル・スケールに対する%)、拡張帯域:オン、最高サンプル・レートにて(代表値) | フル・スケールの0.71%、0Vオフセット(500mVFS) | フル・スケールの0.63%、0Vオフセット(500mVFS) | フル・スケールの0.53%、0Vオフセット(500mVFS) | フル・スケールの0.51%、0Vオフセット(500mVFS) | フル・スケールの0.43%、0Vオフセット(500mVFS) | フル・スケールの0.44%、0Vオフセット(500mVFS) |
| レコード長(ポイント、各チャンネル、標準) | 62.5M | 62.5M | 62.5M | 62.5M | 62.5M | 62.5M |
| レコード長(ポイント、各チャンネル、Opt. 10XL) | 125M | 125M | 125M | 125M | 125M | 125M |
| レコード長(ポイント、各チャンネル、Opt. 20XL) | 250M | 250M | 250M | 250M | 250M | 250M |
| レコード長(ポイント、各チャンネル、Opt. 50XL) | DPO73304SX型 1G(2チャンネル)、500M(4チャンネル) DPS73308SX 1G(各ユニット、2チャンネル)、500M(各ユニット、4チャンネル) | 1G(2チャンネル)、500M(4チャンネル) | 1G(2チャンネル)、500M(4チャンネル) | 1G(2チャンネル)、500M(4チャンネル) | 1G(2チャンネル)、500M(4チャンネル) | 1G(2チャンネル)、500M(4チャンネル) |
| タイミング分解能 | 10ps(100GS/s) | 10ps(100GS/s) | 10ps(100GS/s) | 10ps(100GS/s) | 10ps(100GS/s) | 10ps(100GS/s) |
| 最高サンプル・レートでの記録時間(標準) | 625μs | 625μs | 625μs | 625μs | 625μs | 625μs |
| 最高サンプル・レートでの記録時間(Opt. 10XL) | 1.25ms | 1.25ms | 1.25ms | 1.25ms | 1.25ms | 1.25ms |
| 最高サンプル・レートでの記録時間(Opt. 20XL) | 2.5ms | 2.5ms | 2.5ms | 2.5ms | 2.5ms | 2.5ms |
| 最高サンプル・レートでの記録時間(Opt. 50XL) | 10ms | 10ms | 10ms | 10ms | 10ms | 10ms |
垂直軸システム-アナログ部
- 入力カップリング
- TekConnectチャンネル:
2モード:DC、50Ω~プログラム可能な終端電圧;グランド
終端はDC電圧に接続可能:
1.2VFS以下の設定:ー3.5V~3.5V。
1.2VFS超の設定:0.0V
- ATIチャンネル:
DC、50Ω
入力抵抗
- 1.2VFS以下の設定
50Ω±3%(18~28℃)
50Ω±4%(5~45℃)
- 1.2VFS以上の設定
- 50Ω±4.4%(5~45℃)
- ATIチャンネル
50Ω±3%(18~28℃)
50Ω±4%(5~45℃)
- 感度の範囲
- TekConnectチャンネル
- 62.5mVFS~6VFS
- ATIチャンネル
- 100mVFS~300mVFS
- 最大入力電圧
- TekConnectチャンネル:
1.2VFS以下の設定:
終端バイアス(最大30mA)に対して±1.5V
絶対最大入力:±5V
1.2VFS以上の設定:
±8V(最大Vterm時の電流および最高温度時のアッテネータの電力定格に制限される)
- ATIチャンネル:
±0.75Vpk
- Auxチャンネル:
- ±5.0Vpk
- 入力終端電圧(VTerm)範囲、TekConnectチャンネル
- 1.2VFS以下の設定:
- -3.5V~+3.5V
- 1.2VFS超の設定:
- 0V
- 周波数応答の許容度
- 全モード、帯域拡張:オン、18℃~28℃(代表値)
温度制限を超えた場合の性能ディレーティング特性を判断するには、代表的温度変化表を使用してください。
- TekConnectチャンネル:
ステップ設定(TekConnect設定):77.5mVFS、151mVFS、302mVFS、 605mVFS、1210mVFS、1620mVFS、3240mVFS
±0.5dB(DC~公称帯域の50%)
±1.5dB(公称帯域の50%~80%)
その他のすべてのゲイン設定:
±1.0dB(DC~公称帯域の50%)
±2.0dB(公称帯域の50%~80%)
- ATIチャンネル:
すべてのV/div設定
±0.5dB(DC~20GHz)
±0.75dB(20GHz~30GHz)
±1.25dB(30GHz~68.5GHz)
±2dB(68.5GHz~69.5GHz)
+2/-3dB(70GHz)
- TekConnectチャンネル
温度ディレーティング(代表値) 周波数 TC、(dB/℃) 5℃ 45℃ DC~5GHz 0.005dB/℃ 0.07 -0.09 10GHz 0.010 dB/℃ 0.13 -0.17 15GHz 0.025 dB/℃ 0.33 -0.43 20GHz 0.045dB/℃ 0.59 -0.77 23GHz 0.10dB/℃ 1.30 -1.70 25GHz 0.10dB/℃ 1.30 -1.70 30GHz 0.115dB/℃ 1.50 -1.96 33GHz 0.160dB/℃ 2.08 -2.72 - ATIチャンネル
温度ディレーティング(代表値) 周波数 TC、(dB/℃) DC~5GHz 0.005dB/℃ DC~10GHz 0.002dB/℃ 15GHz 0.005dB/℃ 20GHz 0.01dB/℃ 30GHz 0.05dB/℃ 40GHz 0.07dB/℃ 50GHz 0.05dB/℃ 60GHz 0.05dB/℃
- 帯域幅制限
- 70GHz~1GHz、1GHzきざみ、または500MHz。35GHzを超えると5GHzきざみ
ハードウェアのみの帯域設定(33GHz)は、非ATIチャンネルで使用できます。ATIチャンネルではハードウェアのみの設定は使用できません。
- 垂直分解能
- 8ビット(アベレージングで11ビット)
- デジタイズされたビット数
- 8ビット
DCゲイン確度
- ± 2%
- 有効ビット数(代表値):モデルのDC~全帯域の平均値
ATIチャンネル(70GHz) 4.6ビット(250mV FS、200GS/s) ATIチャンネル(59GHz) 4.8ビット(250mV FS、200GS/s) ATIチャンネル(50GHz) 5.0ビット(250mV FS、200GS/s) TekConnectチャンネル(33GHz) 5.0ビット(500mV FS、100GS/s) TekConnectチャンネル(25GHz) 5.2ビット(500mV FS、100GS/s) TekConnectチャンネル(23GHz) 5.4ビット(500mV FS、100GS/s) TekConnectチャンネル(20GHz) 5.5ビット(500mV FS、100GS/s) TekConnectチャンネル(16GHz) 5.8ビット(500mV FS、100GS/s) TekConnectチャンネル(13GHz) 5.9ビット(500mV FS、100GS/s) - 有効ビット数(代表値)
次のチャートは、250mVFSでサンプルされた225mV p-pの正弦波入力の有効ビット数(代表値)と最大サンプル・レートを示しています。
DPO77002SX型 DPO75902SX型 DPO75002SX型 入力周波数 200GS/s、70GHz 200GS/s、59GHz 200GS/s、50GHz 10MHz 5.0ビット 5.14ビット 5.22ビット 0.92GHz 5.0ビット 5.13ビット 5.21ビット 1.92GHz 5.0ビット 5.13ビット 5.21ビット 2.92GHz 5.0ビット 5.14ビット 5.22ビット 3.92GHz 5.0ビット 5.13ビット 5.21ビット 4.92GHz 4.9ビット 5.03ビット 5.11ビット 5.92GHz 4.9ビット 5.03ビット 5.10ビット 6.92GHz 4.9ビット 5.03ビット 5.10ビット 7.92GHz 4.9ビット 5.02ビット 5.08ビット 8.92GHz 4.9ビット 5.03ビット 5.09ビット 9.92GHz 4.9ビット 5.03ビット 5.09ビット 10.92GHz 4.9ビット 5.03ビット 5.10ビット 11.92GHz 4.9ビット 5.06ビット 5.13ビット 12.92GHz 4.9ビット 5.05ビット 5.17ビット 13.92GHz 4.9ビット 5.07ビット 5.19ビット 14.92GHz 4.9ビット 5.10ビット 5.21ビット 15.92GHz 4.8ビット 4.98ビット 5.11ビット 16.92GHz 4.8ビット 4.89ビット 5.06ビット 17.92GHz 4.7ビット 4.79ビット 4.95ビット 18.92GHz 4.7ビット 4.79ビット 4.95ビット 19.92GHz 4.7ビット 4.80ビット 4.93ビット 20.92GHz 4.7ビット 4.80ビット 4.92ビット 21.92GHz 4.6ビット 4.74ビット 4.82ビット 22.92GHz 4.6ビット 4.77ビット 4.85ビット 23.92GHz 4.7ビット 4.81ビット 4.87ビット 24.92GHz 4.6ビット 4.74ビット 4.79ビット 25.92GHz 4.6ビット 4.73ビット 4.92ビット 26.92GHz 4.5ビット 4.76ビット 4.93ビット 27.92GHz 4.5ビット 4.70ビット 4.91ビット 28.92GHz 4.5ビット 4.70ビット 4.95ビット 29.92GHz 4.5ビット 4.85ビット 4.95ビット 30.92GHz 4.5ビット 4.75ビット 4.90ビット 31.92GHz 4.5ビット 4.70ビット 4.80ビット 32.92GHz 4.4ビット 4.59ビット 4.75ビット 33.92GHz 4.4ビット 4.70ビット 4.79ビット 35.92GHz 4.5ビット 4.60ビット 4.67ビット 37.92GHz 4.3ビット 4.40ビット 4.47ビット 39.92GHz 4.3ビット 4.57ビット 4.65ビット 41.92GHz 4.2ビット 4.49ビット 4.62ビット 43.92GHz 4.3ビット 4.70ビット 4.87ビット 45.92GHz 4.1ビット 4.16ビット 4.71ビット 47.92GHz 4.0ビット 4.10ビット 4.64ビット 49.92GHz 4.0ビット 4.10ビット 4.15ビット 51.92GHz 4.1ビット 4.18ビット 53.92GHz 4.1ビット 4.18ビット 55.92GHz 4.2ビット 4.30ビット 57.92GHz 4.5ビット 4.60ビット 59.92GHz 4.8ビット 61.92GHz 4.8ビット 63.92GHz 4.9ビット 65.92GHz 4.9ビット 67.92GHz 4.9ビット 69.92GHz 4.7ビット - 帯域拡張:オン、MIMOフィルタ、全帯域
DPO77002SX型、DPO75902SX型、DPO75002SX型、DPO73304SX型のTekConnectチャンネル DPO72504SX DPO72304SX型 入力周波数 100GS/s、33GHz 50GS/s、23GHz 100GS/s、25GHz 50GS/s、23GHz 100GS/s、23GHz 50GS/s、23GHz 10MHz 5.4ビット 5.4ビット 5.5ビット 5.3ビット 5.9ビット 5.3ビット 1GHz 5.2ビット 5.3ビット 5.4ビット 5.3ビット 5.8ビット 5.2ビット 2GHz 5.2ビット 5.2ビット 5.3ビット 5.1ビット 5.7ビット 5.2ビット 3GHz 5.1ビット 5.1ビット 5.2ビット 5.1ビット 5.6ビット 5.1ビット 4GHz 5.1ビット 5.2ビット 5.1ビット 5.1ビット 5.6ビット 5.2ビット 5GHz 5.2ビット 5.1ビット 5.2ビット 5.2ビット 5.6ビット 5.1ビット 6GHz 5.0ビット 5.1ビット 5.1ビット 5.2ビット 5.6ビット 5.0ビット 7GHz 5.0ビット 5.1ビット 5.2ビット 5.2ビット 5.5ビット 5.1ビット 8GHz 5.1ビット 5.1ビット 5.2ビット 5.2ビット 5.6ビット 5.1ビット 9GHz 5.1ビット 5.0ビット 5.3ビット 5.2ビット 5.6ビット 5.0ビット 10GHz 5.2ビット 5.1ビット 5.2ビット 5.1ビット 5.5ビット 5.0ビット 11GHz 5.1ビット 4.9ビット 5.4ビット 5.1ビット 5.4ビット 4.9ビット 12GHz 5.2ビット 5.0ビット 5.4ビット 5.2ビット 5.5ビット 5.0ビット 13GHz 5.1ビット 4.9ビット 5.4ビット 5.0ビット 5.4ビット 4.9ビット 14GHz 5.1ビット 4.9ビット 5.4ビット 5.0ビット 5.3ビット 4.8ビット 15GHz 4.9ビット 4.8ビット 5.3ビット 5.0ビット 5.1ビット 4.8ビット 16GHz 4.8ビット 4.8ビット 5.2ビット 5.0ビット 5.2ビット 4.7ビット 17GHz 4.9ビット 4.8ビット 5.2ビット 5.0ビット 5.2ビット 4.7ビット 18GHz 4.9ビット 4.8ビット 5.2ビット 5.1ビット 5.3ビット 4.8ビット 19GHz 4.8ビット 4.8ビット 5.1ビット 5.0ビット 5.2ビット 4.7ビット 20GHz 4.7ビット 4.6ビット 4.9ビット 5.0ビット 5.1ビット 4.7ビット 21GHz 4.8ビット 4.8ビット 4.8ビット 4.8ビット 5.3ビット 4.8ビット 22GHz 4.8ビット 4.9ビット 4.8ビット 4.8ビット 5.3ビット 4.8ビット 23GHz 4.9ビット 4.9ビット 5.2ビット 24GHz 5.0ビット 4.9ビット 25GHz 4.8ビット 4.9ビット 26GHz 4.9ビット 27GHz 4.8ビット 28GHz 4.7ビット 29GHz 4.9ビット 30GHz 4.9ビット 31GHz 4.8ビット 32GHz 4.8ビット 33GHz 4.8ビット DPO72004SX DPO71604SX型 DPO71304SX型 入力周波数 100GS/s、20GHz 50GS/s、20GHz 100GS/s、16GHz 50GS/s、16GHz 100GS/s 13GHz 50GS/s 13GHz 10MHz 5.7ビット 5.4ビット 6.0ビット 5.7ビット 6.0ビット 5.7ビット 1GHz 5.7ビット 5.4ビット 5.9ビット 5.6ビット 6.1ビット 5.8ビット 2GHz 5.4ビット 5.1ビット 5.9ビット 5.6ビット 6.0ビット 5.7ビット 3GHz 5.5ビット 5.2ビット 5.7ビット 5.4ビット 5.7ビット 5.5ビット 4GHz 5.5ビット 5.2ビット 5.7ビット 5.4ビット 5.8ビット 5.6ビット 5GHz 5.5ビット 5.2ビット 5.6ビット 5.4ビット 5.9ビット 5.6ビット 6GHz 5.5ビット 5.2ビット 5.7ビット 5.5ビット 5.8ビット 5.6ビット 7GHz 5.6ビット 5.2ビット 5.7ビット 5.5ビット 5.9ビット 5.6ビット 8GHz 5.6ビット 5.2ビット 5.8ビット 5.5ビット 5.9ビット 5.6ビット 9GHz 5.6ビット 5.2ビット 5.8ビット 5.5ビット 5.9ビット 5.6ビット 10GHz 5.5ビット 5.2ビット 5.8ビット 5.5ビット 5.9ビット 5.6ビット 11GHz 5.5ビット 5.2ビット 5.8ビット 5.4ビット 5.9ビット 5.6ビット 12GHz 5.5ビット 5.2ビット 5.8ビット 5.4ビット 5.8ビット 5.6ビット 13GHz 5.5ビット 5.0ビット 5.8ビット 5.4ビット 5.9ビット 14GHz 5.5ビット 5.0ビット 5.8ビット 5.4ビット 15GHz 5.5ビット 5.0ビット 5.8ビット 5.4ビット 16GHz 5.5ビット 4.9ビット 5.8ビット 5.4ビット 17GHz 5.5ビット 4.9ビット 18GHz 5.5ビット 5.0ビット 19GHz 5.5ビット 4.9ビット 20GHz 5.4ビット 4.9ビット 21GHz 22GHz 23GHz 24GHz 25GHz 26GHz 27GHz 28GHz 29GHz 30GHz 31GHz 32GHz 33GHz
- オフセット・レンジ
- TekConnectチャンネル
フル・スケール電圧レンジ オフセット・レンジ 62.5mVFS~1.2VFS ±3.4V 1.2VFS~6VFS ±6V - ATIチャンネル
フル・スケール電圧レンジ オフセット・レンジ 100mVFS~300mVFS ±300mV-(10div×ボルト/div)
オフセット確度
正味オフセット=オフセット-(位置×電圧/div)。
フル・スケール電圧レンジ オフセット確度 62.5mVFS~1.2VFS(TekConnectチャンネル)
±(0.4% | 正味オフセット | +0.2% | 正味オフセット-Vterm設定 | +2.5mV+フル・スケールの1%)
1.2VFS~6VFS(TekConnectチャンネル) ±(0.6% | 正味オフセット | +13.4mV+フル・スケールの1%)
100mVFS~300mVFS(ATIチャンネル)
±(0.35% | 正味オフセット | +2mV+フル・スケールの1%)
- ポジション・レンジ
- ±5div
- チャンネル間クロストーク(チャンネル・アイソレーション、代表値)
入力周波数範囲(定格帯域まで)。2つのチャンネルのスケールおよび周波数帯域の設定が同じ場合。特定の機器の周波数帯域までに制限されます。
ATIモデル 指定されたチャンネル 機器の周波数範囲 アイソレーション ATIチャンネル(アイソレーション:それぞれ別のユニットに存在する2つまたはそれ以上のATIチャンネル間)、UltraSyncが必要 DC~70GHz 70dB ATIユニットのTekConnectチャンネル(アイソレーション:チャンネル1と3の間) DC~33GHz 60dB TekConnectチャンネルからATIチャンネルへの接続(アイソレーション:チャンネル1および3と、チャンネル2の間) DC~4GHz 55dB 4Hz~10GHz 45dB 10GHz~20GHz 35dB 20GHz~30GHz 30dB 30GHz~33GHz 27dB ATIチャンネルからTekConnect(非ATI)チャンネルへの接続(アイソレーション:チャンネル2と、チャンネル1または3の間) DC~3GHz 55dB 3GHz~12GHz 40dB 12GHz~33GHz 30dB 33~70GHz 60dB TekConnectモデル(非ATI) 指定されたチャンネル 機器の周波数範囲 アイソレーション アイソレーション:チャンネル1または2と、チャンネル3または4の間 DC~33GHz 60dB アイソレーション:チャンネル1と2、またはチャンネル3と4の間 DC~2GHz 60dB 2~10GHz 42dB 10~20GHz 35dB 20~33GHz 30dB
- 表示平均ノイズ・レベル(DANL)、代表値
6.25mV/div(ATIチャンネルの場合:10mV/div)
500kHzスパン、1kHz RBW
ピーク・ディテクタ、トレース・アベレージング、入力終端
DC~500MHz
500MHz~20GHz
20GHz~70GHz
-145dBm/Hz以下
-155dBm/Hz以下
-150dBm/Hz以下
29dB NF
19dB NF
24dB NF
- 信号対ノイズ/ダイナミック・レンジ(代表値)
- TekConnectチャンネル
3dBm入力(1GHz)、100mV/div
CF 1GHz、50MHzスパン、1kHz RBW、中心から+20MHz
-102dB - ATIチャンネル
-7.5dBm入力(65GHz)、30mV/div
CF 65GHz、50MHzスパン、1kHz RBW、中心から+20MHz
-95dB
- 位相ノイズ(代表値)
- 30mV/div、フル・スケールの90%の入力信号
10kHz 100kHz 1MHz 10MHz 1GHz -113dBc/Hz -120dBc/Hz -133dBc/Hz -139dBc/Hz 12.5GHz -95dBc/Hz -98dBc/Hz -127dBc/Hz -139dBc/Hz 40GHz -86dBc/Hz -89dBc/Hz -110dBc/Hz -132dBc/Hz 60GHz -82dBc/Hz -87dBc/Hz -110dBc/Hz -125dBc/Hz
- 2次および3次高調波歪
6.25mV/div(ATIチャンネルの場合:10mV/div)
入力信号:-26dBm(ATIチャンネルの場合:-22dBm)
- TekConnectチャンネル
基本波
2次 3次 1GHz
-60dBc以下 -55dBc以下 500MHz~10GHz
-55dBc以下 -50dBc以下 10GHz~16.5GHz
-45dBc以下 -50dBc以下 - ATIチャンネル
1GHz
-60dBc以下 -50dBc以下 500MHz~10GHz
-60dBc以下 -45dBc以下 10GHz~25GHz
-50dBc以下 -50dBc以下 25GHz~35GHz
-40dBc以下 -50dBc以下
- 2トーン、3次相互変調インターセプト(TOI)、代表値
- TekConnectチャンネル
200mV/div、3dBm入力/トーン
2.598GHz、2.602GHz
20MHzスパン、100kHz RBW
+30dBm
- ATIチャンネル
30mV/div、-15dBm入力/トーン
64.998GHz、65.002GHz
20MHzスパン、100kHz RBW
+10dBm
- 2トーン、3次相互変調インターセプト(代表値)
6.25mV/div(ATIチャンネルの場合:10mV/div)
-34dBm入力/トーン(ATIチャンネルの場合:-29dBm)
10MHz分離、50MHzスパン、100kHz RBW
TekConnect
10MHz~33GHz
-45dBc以下 ATIチャンネル
10MHz~65GHz
-40dBc以下
- SFDR (代表値)
TekConnectチャンネル
CF 2.5GHz、5GHzスパン、100kHz RBW、50mV/div
入力-8dBm(1GHz)
-65dBc以下 ATIチャンネル
CF 65GHz、6GHzスパン、100kHz RBW、30mV/div
入力-12dBc(任意の周波数:62GHz~68GHz)
-55dBc以下
- その他のスプリアス応答(代表値)
6.25mV/div(ATIチャンネルの場合:10mV/div)
入力信号:-26dBm(ATIチャンネルの場合:-22dBm)
SPC実施後、EENOB有効
- インターリーブ・イメージ(すべてのチャンネル)
スプリアス周波数 = N(12.5GHz)+-Fin、N(1~5) -40dBc以下 - ATIチャンネル・イメージ
スプリアス周波数 = 37.5GHz+Fin(Fin:DC~37.5GHz)
37.5GHz-Fin(Fin:37.5GHz~70GHz)
-30dBc以下 - 残留応答
入力終端
6.25mV/div(ATIチャンネルの場合:10mV/div)
SPC実施後、EENOB有効
TekConnectチャンネル
例外(12.5GHzおよび25GHz)
-75dBm以下
-60dBm以下
ATIチャンネル
例外(12.5GHz、25GHz、37.5GHz、および50GHz)
-75dBm以下
-60dBm以下
- 入力VSWR(代表値)
- TekConnectチャンネル(1.2VFS以下の設定)
DC~17GHz
17GH~20GHz
20GHz~33GHz
1.4:1
1.6:1
2.0:1
- TekConnectチャンネル(1.2VFS超の設定)
DC~17GHz
17GHz~33GHz
1.4:1
2.0:1
- ATIチャンネル
DC~20GHz
20GHz~33GHz
33GHz~70GHz
1.5:1
1.8:1
2.6:1
水平軸システム
時間軸確度
±0.8×10-6(1年以内)、±0.3×10-6(1年使用後、30分間のウォームアップ後に23℃±5℃以内で運転時のエージング/年)
代表値:±0.1×10-6(調整後の初期確度)
- 遅延時間範囲
- –5.0ks~1.0ks
- サンプル・クロック・ジッタ(代表値)
- ATIチャンネル
持続時間が10μS超:65fsRMS未満
- TekConnectチャンネル
- 持続時間が10μS超:100fsRMS未満
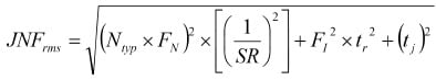
- ジッタ・ノイズ・フロア(代表値)
- NTYP = 代表的な入力換算ノイズ仕様(V rms)RMS
- FN = 機器の帯域幅が 9 GHz 以下の場合は 1.3、10 GHz 以上の場合は 1.5
- SR = 測定項目のスルー・レート
- FI = 1.7 x 10-2/sqrt(2) = 1.2 x 10-2
- tr = 測定エッジの立上り時間
- tj = タイムベースのジッタまたはアパーチャの不確実性

- 波形の補間されたサンプル率は、測定する信号の周波数帯域の25倍以上である必要があります。
- トリガ・ジッタ(代表値)
- 10fs(拡張トリガ配置を使用)。
- トリガ・ジッタ(DCカップリング、Aエッジ、代表値)
10fs(拡張トリガ配置を使用)。
1.3ps rms(低周波)、高速な立上り時間信号、Aエッジ、ホールドオフ時間 = 30μs
仕様トリガ・システム
- 時間/Div設定
- オート・モード
- 10ps/div~1,000s/div
- ATIチャンネル(サンプル・レートは200GS/sのみ)
最大RT設定:500μs/div(レコード長:1Gポイント、Opt. 50XLを使用)
最小RT設定:25ps/div
最大IT設定:250μs/div(レコード長:1Gポイント、Opt. 50XLを使用)
最小IT設定:500fs/div
- TekConnectチャンネル3(最高サンプルレート:100GS/s)
最大RT設定:1ms/div(レコード長:1Gポイント、Opt. 50XLを使用)
最小RT設定:50ps/div
最大IT設定:10μs/div(レコード長:1Gポイント、Opt. 50XLを使用)
最小IT設定:500fs/div
- チャンネル間の遅延時間(BWE、代表値)
500fs以下(温度条件がユーザの調整前に25℃±5℃、任意のゲイン設定における同一ボックスの任意の2チャンネル間)最小分解能10fsで手動調整が可能。5℃以下および45℃で1.5ps以下に直線的に低下
- チャンネル・スキュー安定度、UltraSync(代表値)
250fs以下RMS(温度条件が25℃±5℃、任意のゲイン設定における任意の2チャンネル間)5℃および45℃で3ps以下に直線的に低下
- チャンネル間デスキュー・レンジ
- ±75 ns
アクイジション・システム
- アクイジション・モード
- サンプル
- サンプル値を取込んで表示
- アベレージ
- 2~10,000波形の平均
- エンベロープ
- 1~2×109波形の最小-最大エンベロープ
- Hi-Res(ハイレゾ)
- リアルタイム・ボックスカー・アベレージングにより、ランダム・ノイズを低減して分解能を向上
- ピーク・ディテクト
- 幅の狭いグリッチをリアルタイム・サンプリングで捕捉して表示。グリッチ幅:125MS/s以下のサンプル・レートでは1ns、250MS/s以上のサンプル・レートでは1/サンプル・レート
- FastAcq®(TekConnectチャンネルのみ)
- 動的に変化する信号の解析や間欠的なイベントの取込みに最適。300,000波形/秒超(全TekConnectチャンネル同時、スタンドアロン構成のみ)
- FastFrame™
- アクイジション・メモリをセグメントに分割、最大トリガ・レートは310,000波形/秒以上。タイムスタン プ機能あり。フレーム・ファインダにより、変化のあるフレームをすばやく確認できる。ATIチャンネルとTekConnectチャンネルの両方に対応しており、スタンドアロンまたはUltraSyncを使用したマルチユニット構成など、あらゆるシステム構成で利用可能
- ロール・モード
- 画面の右から左に波形をスクロール表示。最大レコード長40Mポイントで最高サンプル・レート10MS/sまで動作可能(TekConnectチャンネルのみ。スタンドアロン構成のみ)
- 波形データベース
- 振幅、時間および頻度の三次元データとして波形データを蓄積(TekConnectチャンネルのみ。スタンドアロン構成のみ)
PinPoint®トリガ・システム
- トリガ感度(代表値)
- 内部DCカップリング
Aイベント・トリガ、Bイベント・トリガ フル・スケールの5%以下(DC~50MHz)
フル・スケールの7.5%以下(5GHz)
フル・スケールの10%以下(10GHz)
フル・スケールの15%以下(15GHz)
フル・スケールの35%以下(20GHz)
フル・スケールの50%以下(25GHz)
- Aux入力(外部トリガ)、50Ω
補助入力 100mVpp(DC~1GHz)
175mVpp(4GHz)
225mVpp(8GHz)
325mVpp(10GHz)
800mVpp(12GHz)
エッジ・トリガ感度(DCカップリング、代表値)
全ソース、正または負のエッジ。
トリガ・ソース 感度 Aイベント・トリガ フル・スケールの5%以下(DC~50MHz)
フル・スケールの7.5%以下(5GHz)
フル・スケールの10%以下(10GHz)
フル・スケールの15%以下(15GHz)
フル・スケールの35%以下(20GHz)
フル・スケールの50%以下(25GHz)
Bイベント・トリガ フル・スケールの5%以下(DC~50MHz)
フル・スケールの7.5%以下(5GHz)
フル・スケールの10%以下(10GHz)
フル・スケールの15%以下(15GHz)
フル・スケールの35%以下(20GHz)
フル・スケールの50%以下(25GHz)
補助入力 100mVpp(DC~1GHz)
175mVpp(4GHz)
225mVpp(8GHz)
450mVpp(10GHz)
800mVpp(11GHz)
- エッジ・トリガ感度(DCカップリングなし、代表値)
- 全ソース、正または不のエッジ、垂直軸スケール設定;10 mV/div以上および1V/div以下
トリガ・カップリング 感度 ノイズ除去 フル・スケールの15%(DC~50MHz)
フル・スケールの22.5%(5GHz)
フル・スケールの30%(10GHz)
フル・スケールの45%(15GHz)
フル・スケールの100%(20GHz)
AC 周波数100Hz超ではDCカップリングの制限値と同じく100Hz未満の信号を減衰
HF REJ 周波数20kHz未満ではDCカップリングの制限値と同じ。20kHz超の信号は減衰
LF REJ 周波数が200kHz超ではDCカップリングの制限値と同じ。200kHz未満の信号は減衰
RF 最小ヒステリシス/高感度 A TRIG TekConnect
フル・スケールの2.5%(DC~50MHz)
フル・スケールの2.5%(5GHz)
フル・スケールの2.5%(10 GHz)
フル・スケールの5%(15GHz)
フル・スケールの7.5%(20GHz)
フル・スケールの12.5%(25GHz)
B TRIG TekConnect
フル・スケールの2.5%(DC~50MHz)
フル・スケールの2.5%(5GHz)
フル・スケールの2.5%(10GHz)
フル・スケールの5%(15GHz)
フル・スケールの7.5%(20GHz)
フル・スケールの20%(25GHz)
A TRIG ATI
フル・スケールの2.5%(DC~50MHz)
フル・スケールの2.5%(5GHz)
フル・スケールの2.5%(10GHz)
フル・スケールの5%(15GHz)
フル・スケールの10%(20GHz)
フル・スケールの22.5%(25GHz)
B TRIG ATI
フル・スケールの2.5%(DC~50MHz)
フル・スケールの2.5%(5GHz)
フル・スケールの2.5%(10GHz)
フル・スケールの5%(15GHz)
フル・スケールの10%(20GHz)
フル・スケールの22.5%(25GHz)
- Aイベントおよび遅延Bイベントのトリガ・タイプ
スタンドアロンで使用 DPO73304SX型
DPO72504SX
DPO72304SX
DPO72004SX
DPO71604SX型
DPO71304SX型
DPO77002SX型
DPO75902SX型
DPO75002SX型
トリガ・タイプ TekConnectチャンネル ATIチャンネル TekConnectチャンネル エッジ ○
○
○
グリッチ ○
○
○
幅 ○
○
○
ラント ○
○
○
シリアル(8B/10B) ○
○
○
ウィンドウ ○
○
○
タイムアウト ○
○
○
周期/周波数 ○
○
○
エンベロープ ○
○
○
トランジション ○
○
○
ロジック・パターン ○
○
セットアップ/ホールド ○
○
ロジック・ステート ○
マルチユニット構成 DPO73304SX型
DPO72504SX
DPO72304SX
DPO72004SX
DPO71604SX型
DPO71304SX型
DPO77002SX型
DPO75902SX型
DPO75002SX型
トリガ・タイプ TekConnectチャンネル ATIチャンネル TekConnectチャンネル エッジ ○
○
○
グリッチ ○
○
○
幅 ○
○
○
- メイン・トリガ・モード
- オート、ノーマル、シングル
- トリガ・シーケンス
- メイン、時間遅延、イベント遅延、時間によりリセット、ステートによりリセット、トランジションによりリセット。すべてのトリガ・シーケンスで、アクイジション・ウィンドウ位置を最適とするために、トリガ・イベント発生後の時間軸遅延を個別に設定することが可能
- トリガ・カップリング
DC、AC(100Hz未満で減衰)
HF Rej(20kHz超で減衰)
LF Rej(200kHz未満で減衰)
ノイズ除去(感度が低下)
RFカップリング(最高動作周波数でのトリガ感度および帯域幅が増加)
- Aイベントの可変トリガ・ホールドオフ範囲
- 250ns~12s+ランダム・ホールドオフ
- トリガ・レベルまたはスレッショルド範囲
トリガ・ソース 範囲 Ch1、2、3、または4 フル・スケール 補助入力 ±3.65V 電源ライン 0V(設定不可)
- エンハンスト・トリガ
選択可能、トリガ経路とデータ取込み経路間の時間差を補正(パターン・トリガ以外のAイベント、Bイベント両方のすべてのPinpointトリガ・タイプをサポート)、デフォルトでオン(選択可)、FastAcqモードでは利用不可
- ライン・トリガ
- 電源ラインの信号にトリガ。0Vに固定
- シリアル・パターン・トリガ
- 70000SXシリーズ全機種。Opt. ST14Gが必要
- ビジュアル・トリガ
- Opt. VETが必要
- 最大領域数
- 8
- 領域の形状
- 長方形、三角形、台形、六角形、ユーザ定義形状(40を超える頂点を持つことが可能)
- 互換性
- ビジュアル・トリガ認定は、すべてのトリガ・タイプおよびすべてのトリガ・シーケンスと互換性があります
- トリガ・タイプ
トリガ・タイプ 概要 8B/10B 最大160ビットの8b/10bバス・データでトリガ 64B/66B 最大132ビットの64B/66Bバス・データでトリガ I2C
スタート、リピーテッド・スタート、ストップ、ミッシング・アクノレッジ、アドレス(7または10ビット)、データ、またはアドレスとデータにトリガ SPI SSまたはデータにトリガ PCIe PCIeバスでトリガ USB USBバスでトリガ CAN フレームの開始、フレーム・タイプ、識別子、データ、フレームの終了、ミッシング・アクノレッジ、ビット・スタッフィング・エラーにトリガ LIN シンク、識別子、データ、識別子とデータ、ウェイクアップ・フレーム、スリープ・フレーム、エラーにトリガ FlexRay フレームの開始、インジケータ・ビット、サイクル・カウント、ヘッダ・フィールド、識別子、データ、フレームの終了、エラーにトリガ
RS-232/422/485/UART スタート・ビット、パケットの終了、データ、パリティ・エラーにトリガ MIL-STD-1553 MIL-STD-1553バスでトリガ 10/100BASE-T Ethernet 10/100BASE-T Ethernetバスでトリガ エッジ 任意のチャンネルまたは前面パネルの外部トリガ入力の立上りまたは立下りスロープでトリガ。カップリング:DC、AC、ノイズ除去、HF除去、LF除去、RFカップリング
周波数/周期 選択可能な時間制限の範囲内または範囲外の同一スロープでスレッショルドを2回横切るイベントでトリガ。スロープは正、負またはいずれかが選択可能 グリッチ 正の極性、負の極性、またはいずれかの極性のグリッチにトリガ。最小グリッチ幅は40ps(代表値)、リアーム時間は50ps(間隔:5ns未満)、5nsを超えると75ps
パターン 選択した論理パターンとの一致または不一致を指定時間内に検出するトリガ。4つの入力チャンネルに指定されたパターン(AND、OR、NAND、NOR)
ラント 2つのスレッショルド・レベルのうち、1つ目のスレッショルドを横切り、2つ目のスレッショルドを横切ることなく、再び1つ目のスレッショルド・レベルを横切る場合にトリガ。イベントは、時間または他チャンネルの論理状態で設定可能。最小ラント幅は40ps(代表値)、リアーム時間は50ps
シリアル・トリガ(8B/10B) 8B/10Bエンコード・データおよび汎用NRZシリアル・データでトリガ(最大160ビット) セットアップ/ホールド 任意の2つの入力チャンネルで、クロックとデータの間にセットアップ時間とホールド時間の違反がある場合にトリガ ステート チャンネル1、2、3 で選択した論理ステートを、チャンネル4のクロックの立上りまたは立下りエッジで検出するとトリガ
タイムアウト 指定した時間にわたって、イベントがハイ、ロー、いずれかのままである場合にトリガ。300ps以上が選択可能
トランジション 指定したパルス・エッジ・レート 指定した時間にわたって、イベントがハイ、ロー、またはいずれかのままである場合にトリガ。300ps以上が選択可能。
よりも速いまたは遅い場合にトリガ。スロープは正、負またはいずれかが選択可能。幅 指定した時間範囲内または範囲外で、正または負のパルスでトリガ。最小パルス幅は40ps
ウィンドウ ユーザが調整可能な2つのスレッショルドと時間軸によって定義されたウィンドウに、信号が出入りしたというイベントにトリガ。イベントは、時間または他チャンネルの論理状態で設定可能 ビジュアル・トリガ ビジュアル・トリガの設定が満たされたときにトリガ エンベロープ 変調されたキャリア検出されたエンベロープに対して実行されるエッジ/グリッチ/幅/ラント・トリガといったトリガ・タイプに適用されるクオリフィケーション。キャリア周波数は250MHz~15GHz。最小バースト幅は20ns未満、バースト間の最大ギャップは20ns未満
- トリガ・モード
トリガ・モード 概要 イベント遅延トリガ 1~2Gイベント 時間遅延トリガ 3.2ns~3Ms Bイベント・スキャン Bイベント・スキャンはA‐Bトリガ・シーケンスであり、Bイベント・スキャン設定メニューで定義したバースト・イベント・データにトリガし、取込むことができる。取込んだビット列はシーケンシャルまたはランダムにスキャンできる。また、トリガは2つの連続したBトリガ・イベントの間で切り替えることができる。Bイベント・スキャンで取込んだバースト・データを使用してアイ・ダイアグラムを構築することもできる
アームA、トリガB このモードでは、単発のアーミング・イベントAに続く単発または複数のBイベントでトリガできる。FastFrameと組み合わせて使用することで、タイミングがきわめて厳しいトリガ条件でも確実にデータを取り込める
波形解析
- イベントのサーチとマーク
エッジ、グリッチ、または指定した幅のパルスを検索する。検索条件にマッチして検出されたイベントにはマークが付き、イベント・テーブルに表示されます。任意のチャンネルの正、負いずれかまたは両方のスロープを検索する。
目的のイベントが検出された場合、同様のイベントはPinpointトリガの設定ウィンドウのMark All Trigger Events in Recordで検出できる。
検出されたイベントはイベント・テーブルで表示され、すべてのイベントはトリガ・ポジションを基準にタイム・スタンプが付く。イベント検出時に、波形取込みの停止を選択することもできる。
- 波形測定
- 自動測定
54項目。8項目を一度にスクリーン上に表示。統計値、ユーザ定義可能なリファレンス・レベル、範囲を指定して測定するゲーティングが可能
DPOJETジッタ/アイ・ダイアグラム解析アプリケーションを使用すると、より多くの自動測定やジッタなどの拡張測定が可能
- 振幅測定
振幅、ハイ、ロー、最大値、最小値、P-P、平均値、サイクル平均値、実効値、サイクル実効値、正のオーバシュート、負のオーバシュート
- 時間測定
立上り時間、立下り時間、正のパルス幅、負のパルス幅、正のデューティ・サイクル、負のデューティ・サイクル、周期、周波数、遅延
- その他
- 面積、サイクル面積、位相、バースト幅
- ヒストグラム関連
波形数カウント、ボックス内のヒット数、ピーク・ヒット数、中央値、最大値、最小値、P-P、平均値(μ)、標準偏差(σ)、μ±1σ、μ±2σ、μ±3σ
- 波形処理/演算機能
- 代数式
波形、スカラ、任意の変数、パラメータ測定結果などを含めた広範な代数式を定義可能。(積分(CH1 - 平均値(CH1)) x 1.414 x VAR1)
- 演算
- 波形および定数の加算、減算、乗算、除算
- フィルタ関数
ユーザによる定義が可能。フィルタ係数を含むファイルを指定。数種類のサンプル・フィルタ・ファイルを含む
- 周波数領域関数
- スペクトラム(振幅、位相、実数および虚数)
- マスク関数
サンプル波形からピクセル・マップの波形データベースを生成する関数。サンプル数も定義可能。
- 演算関数
平均、反転、積分、微分、平方根、指数、Log 10、Log e、Abs、Ceiling、Floor、Min、Max、Sin、Cos、Tan、ASin、ACos、ATan、Sinh、Cosh、Tanh
- 関係式
- >、<、≧、≦、=、≠のブール値の結果
- 垂直軸単位
- 振幅:リニア、dB、dBm位相:角度、ラジアン、グループ遅延IREおよびmV単位
- 窓関数
矩形、ハミング、ハニング、カイザーベッセル、ブラックマンハリス、ガウシャン、フラットトップ2、Tek指数関数
- 演算プラグイン・インタフェースを使用したユーザ独自の関数
MATLABまたはVisual Studioを使用してユーザ独自の演算関数を作成するためのインタフェースを提供
表示特性
- カラー・パレット
- ノーマル、グリーン、グレイ、色温度、スペクトラム、ユーザ定義
- フォーマット
- YT、XY、XYZ
- ディスプレイ解像度
- 1,024×768ピクセル(XGA)
- ディスプレイ・タイプ
- 6.5インチ静電容量式タッチスクリーン型液晶アクティブ-マトリックス・カラー・ディスプレイ
- 水平目盛
- 10
- 垂直目盛
- 10
- 波形スタイル
- ベクタ、ドット、可変パーシスタンス、無限パーシスタンス
コンピュータ・システムと周辺機器
- オペレーティング・システム
- Microsoft Windows 10 Enterprise IoT Edition
- CPU
Intel Core I7-4790S、3.2GHz、クアッド・コア
- システム・メモリ
- 32GB
- ソリッド・ステート・ドライブ
- リムーバブル、容量:900GB以上
入出力ポート
- 補助トリガの入力特性と範囲
- 50Ω、±5V(DC+ピークAC)仕様入出力ポート
- 補助出力のロジック極性と機能
デフォルト出力はAトリガ、ローで真(Aトリガ・イベント発生時に負のエッジ)。「Aトリガ、ハイで真」、および「Bトリガ、ローまたはハイで真」になるように出力をプログラムすることも可能です。
高速エッジ出力のステップ振幅およびオフセット
差動電圧:1,200mV(100Ω負荷)、コモン・モードでは-300mV。
- 外部リファレンス入力周波数
10MHz、100MHz、12.5GHz
10MHzまたは100MHzの識別は、機器によってスキャンされます。12.5GHzの場合は別途のSMA入力でサポートされます。
- 12.5GHzクロック入力
- 1.3Vp-p(6dBm)
- B、C、D 12.5GHzクロック出力(UltraSync)
- 1.3Vp-p(6dBm)
- 内部リファレンス出力電圧(代表値)
- 10MHz Vout(p-p)
800mVp-p超(50Ω)
1.6Vp-p、1MΩ負荷(内部ACカップリング)
- 入出力ポート
- DVI-Dビデオ・ポート
DVI-D(Degital Visual Interface)対応ポート(メス)
- VGAポート
- VGA(Video Graphics Array)対応ポート(メス)
- DisplayPort
- コネクタ×2(プライマリ、セカンダリ)、デジタル・ディスプレイ・インタフェース
- PCIe
- マルチ機器システムの構成に使用可能なPCIeポート
- トリガ
UltraSyncトリガ・バス
- キーボード/マウス・ポート
- PS-2対応(接続を行うときは機器を電源オフする必要があります)
- LANポート
- RJ-45×2(LAN1、LAN2)、10base-T、100base-TX、およびGigabit Ethernetに対応
- 外部オーディオ・ポート
- 外部オーディオ・ジャック(マイク入力とライン出力)
- USBポート
USB 2.0コネクタ×4(前面パネル)
USB 3.0/USB 2.0コネクタ×4(後部パネル)
USBデバイス・コネクタ×1(後部パネル)
データ・ストレージの仕様
- 不揮発性メモリのデータ保持時間(代表値)
- 20年超
- ソリッド・ステート・ドライブ
波形およびセットアップはソリッド・ステート・ドライブに保存
ソリッド・ステート・ドライブの容量:900GB以上(リムーバブル)
仕様データ・ストレージ
電源
- 消費電力
- 仕様電源
980W未満(単体、最大値)
780W以下(シングル・ユニット、代表値)
- 電源電圧と周波数
100V~240VRMS、50/60Hz
115V±10%、400Hz
CAT II
機械仕様
- 寸法
- DPO70000SXモデル
高さ:157mm
幅:452mm
奥行:553mm
- DPO70000SXモデル、ラックマウント構成
高さ:177mm
幅:440mm
奥行:523mm(ラックマウントの取っ手から機器の後端まで)
- 質量
- 仕様機械的
- DPO70000SXシリーズ
19kg(オシロスコープのみ)
- 冷却
- 冷却に必要なスペース
ファンによる強制空冷(エア・フィルタなし) 上部 0mm 底部 6.35mm(最小スペース)または0mm(脚を使用した状態で上下逆に設置する場合)
左側面 76mm 右側面 76mm
背面 0mm(後部に脚を使用している場合)
環境仕様
- 温度
- 動作時
- +5℃~+45℃
- 非動作時
- -20℃~+60℃
- 温度
- 動作時
+5℃~+45℃、最大11℃/hの傾き、結露のなきこと、高度が1,500mを超えると300mごとに最大動作温度が1℃低下
- 非動作時
-20~+60℃(最大20℃/hの傾き)
- 湿度
- 動作時
相対湿度8~80%(最大+32℃)
相対湿度5~45%(+32℃~+45℃)、結露なきこと、湿球温度29.4℃に制限される(+45℃で相対湿度32%まで低下)

- 非動作時
相対湿度5~95%(最大+30℃)
相対湿度5~45%(+30℃~+60℃)、結露なきこと、湿球温度+29.4℃に制限される(+60℃で相対湿度11%まで低下)
- 高度
- 動作時
- 最高3,000m
- 非動作時
- 最高12,000m
- 高度
- 動作時
最高3,000m(高度が1,500mを超えると、300mごとに最大動作温度が1℃低下)
- 非動作時
- 最高12,000m
- 規制
- EMC(電磁適合性)
- 2004/108/EC;EN 61326-2-1
- 規格認証
- UL 61010-1、CSA 61010-1-04、LVD 2006/95/EC、EN61010-1、IEC 61010-1
ご注文の際は以下の型名をご使用ください。
型名
- DPO77002SX
- 70GHz ATIパフォーマンス・オシロスコープ
- DPO75902SX
- 59GHz ATIパフォーマンス・オシロスコープ
- DPO75002SX
- 50GHz ATIパフォーマンス・オシロスコープ
- DPO73304SX
- 33GHzデジタル・フォスファ・オシロスコープ:
- DPO72504SX
- 25GHzデジタル・フォスファ・オシロスコープ
- DPO72304SX
- 23GHzデジタル・フォスファ・オシロスコープ
- DPO72004SX
- 20GHzデジタル・フォスファ・オシロスコープ:
- DPO71604SX
- 16GHzデジタル・フォスファ・オシロスコープ:
- DPO71304SX
- 13GHzデジタル・フォスファ・オシロスコープ:
システム
以下のDPSシステムは、2台のDPOオシロスコープと1mのUltraSyncケーブルを含むシステムの発注型名です。これらのシステムには、基本モデルと同じオプションが適用されます。また、オプションは2台の機器のどちらにも装備されます。システムを構成する機器をスタンドアロンで使用するときには、どちらの機器でもシステム名に関連付けられた同じオプションが使用されます。
- DPS77004SX型
- 70GHz ATIパフォーマンス・オシロスコープ・システム:70GHz、200GS/s(2チャンネル)または33GHz、100GS/s(4チャンネル)
- DPS75904SX型
- 59GHz ATIパフォーマンス・オシロスコープ・システム:59GHz、200GS/s(2チャンネル)または33GHz、100GS/s(4チャンネル)
- DPS75004SX型
- 50GHz ATIパフォーマンス・オシロスコープ・システム:50GHz、200GS/s(2チャンネル)または33GHz、100GS/s(4チャンネル)
- DPS73308SX型
- 33GHzデジタル・フォスファ・オシロスコープ・システム:33GHz、100GS/s(4チャンネル)または8 4 23GHz、50GS/s
スタンダード・アクセサリ
ATIチャンネル用アクセサリ
| アクセサリ | 当社部品番号 |
|---|---|
| 1.85mm(メス)~2.92mm(メス)アダプタ | 103-0483-00 |
| アッテネータ(2.92 mmメス~2.92mmオス)。50 Ω、10 dB、2ワット、DC-40 GHz) | 011-0221-00 |
| ATIコネクタ・セーバ(1.85mm)、メス-メス | 103-0474-00 |
| ATI保護キャップ | 016-2101-00 |
| トルク・レンチ | 067-2787-00 |
| バッキング・レンチ・カード | 003-1972-00 |
機器アクセサリ
| アクセサリ | 当社部品番号 |
|---|---|
| 設置および安全性に関するマニュアル - 言語オプションにより異なる | 071-3357-xx |
| 前面カバー | 200-5337-00 |
| PCIeホスト・ポート保護プラグ | 200-5344-00 |
| 2番目のEthernetポート・プラグ | 200-5389-00 |
| チェーン付き高速エッジの50Ωターミネータ(x2) | 131-9650-00 |
| TCA292D(x5)(ATI対応機器はx3) | TCA292D |
| 帯電防止用リスト・ストラップ | 006-3415-05 |
| アクセサリ・ポーチ | 016-2045-00 |
| ベストプラクティス・マニュアル | 071-2989-04 |
| RoHS情報 | 071-2185-04 |
| 校正証明書 | 001-1179-00 |
| 校正証明書保管用封筒 | 006-8018-01 |
| 電源ケーブル | オプションにより異なる |
保証
部品と技術料はすべて1年保証
機器オプション、アップグレード、フローティング・ライセンス
以下の機器オプション、アップグレード、フローティング・ライセンスが表示されています。
- 機器:「機器」のオプションは、購入時のオプションです。新しい機器のオプションを注文する場合、オプションの前にモデル番号が付きます。例:DPO73304DX DJA。
- アップグレード:「アップグレード」は、既存の機器で利用できるオプションです。アップグレードとしてオプションを注文する場合、オプションの先頭にDPO-UPが付きます。例:DPO-UP DJA。
- フローティング・ライセンス:フローティング・ライセンスを使用して資産を管理することもできます。フローティング・ライセンスにより、お使いのDPO70000SXシリーズまたはMSO/DPO70000DXシリーズのすべての当社オシロスコープの間で、ライセンス・キー対応のオプションを移動することができます。フローティング・ライセンスを注文すると、ライセンスの先頭にDPOFLが付きます。例:DPOFL-DJA。フローティング・ライセンス・オプションの詳細については、www.tek.com/products/oscilloscopes/floating-licensesを参照してください。
レコード長オプション、アップグレード、フローティング・ライセンス
次のレコード長オプション、アップグレード、フローティング・ライセンスを使用できます。「X」は、その項目が使用可能であることを示します。「-」は、その項目が使用できないことを示します。
| Opt. | 概要 | 型名 | アップグレード | フローティング・ライセンス |
|---|---|---|---|---|
| 10XL | 拡張レコード長:125M/Ch | X | - | - |
| 20XL | 拡張レコード長:250M/Ch | X | - | - |
| 50XL | 拡張レコード長:1G/Ch(2チャンネル)、500M/Ch(4チャンネル) | X | - | - |
| XL010 | 拡張レコード長:標準から10XL(125M/Ch)へのアップグレード | - | - | X |
| XL020 | 拡張レコード長:標準から20XL(250M/Ch)へのアップグレード | - | - | X |
| XL050 | 拡張レコード長:標準から50XL(1G/Ch(2チャネル)500M/Ch(4チャネル))へのアップグレード | - | - | X |
| XL510 | 拡張レコード長:5XL(62.5M/Ch)から10XL(125M/Ch)へのアップグレード | - | X | - |
| XL520 | 拡張レコード長:5XL(62.5M/Ch)から20XL(250M/Ch)へのアップグレード | - | X | - |
| XL550 | 拡張レコード長:5XL(62.5M/Ch)から50XL(1G/Ch(2チャネル)500M/Ch(4チャネル))へのアップグレード | - | X | - |
| XL1020 | 拡張レコード長:10XL(125M/Ch)から20XL(250M/Ch)へのアップグレード | - | X | - |
| XL1050 | 拡張レコード長:10XL(125M/Ch)から50XL(1G/Ch(2チャネル)500M/Ch(4チャネル))へのアップグレード | - | X | - |
| XL2050 | 拡張レコード長:20XL(250M/Ch)から50XL(1G/Ch(2チャネル)500M/Ch(4チャネル))へのアップグレード | - | X | - |
ストレージ・オプションとアップグレード
次のストレージ・オプションとアップグレードを使用できます。「X」は、その項目が使用可能であることを示します。「-」は、その項目が使用できないことを示します。
| Opt. | 概要 | 型名 | アップグレード |
|---|---|---|---|
| SSD | ソリッド・ステート・ドライブ・アセンブリ:Microsoft Windows 10 OS、TekScope、およびアプリケーション・ソフトウェアがインストールされた、お客様がインストール可能なリムーバブル・ドライブ | X | - |
トリガおよびデコード・オプション、アップグレード、フローティング・ライセンス
次のトリガおよびデコード・オプション、アップグレード、フローティング・ライセンスを使用できます。「X」は、その項目が使用可能であることを示します。「-」は、その項目が使用できないことを示します。
| Opt. | 概要 | 型名 | アップグレード | フローティング・ライセンス |
|---|---|---|---|---|
| SR-6466 | 64b/66bシリアル・トリガ/解析(Opt. ST14Gが必要) | ○ | ○ | - |
| Opt. SR-COMP | コンピュータ・シリアル・トリガ/解析(RS232/422/485/UART) | ○ | ○ | ○ |
| SR-DPHY | MIPI D-PHY(DSI1/CSI2)シリアル解析 | ○ | ○ | ○ |
| Opt. SR-EMBD | 組込み・シリアル・トリガ/解析(I2C、SPI)。 | ○ | ○ | ○ |
| Opt. SR-ENET | Ethernetシリアル解析(10BASE-Tおよび100BASE-TX) | ○ | ○ | ○ |
| Opt. SR-PCIE | PCI Expressシリアル・トリガ(第1世代、第2世代)および解析(第1世代、第2世代、第3世代、第4世代、第5世代) | ○ | ○ | ○ |
| Opt. SR-USB | USBシリアル・トリガ/解析 | ○ | ○ | ○ |
| SSIC | SSICプロトコル・デコーダ | X | - | X |
| ST14G | 最大14.1Gb/sの高速シリアル・トリガおよびデコード。NRZパターンおよび8b10bシリアル・バスをサポート。 | X | X | X |
| Opt. VET | ビジュアル・トリガ/サーチ | X | - | X |
| VETU | ビジュアル・トリガ/サーチ(12GHz超の70000シリーズ用) | - | X | - |
拡張解析オプション、アップグレード、フローティング・ライセンス
次の拡張解析オプション、アップグレード、フローティング・ライセンスを使用できます。「X」は、その項目が使用可能であることを示します。「-」は、その項目が使用できないことを示します。
| Opt. | 概要 | 型名 | アップグレード | フローティング・ライセンス |
|---|---|---|---|---|
| 100G-TXE | TekExpress 100G-TXE - 100Gbps TXコンプライアンス・ソリューションおよびDPOJET:CAUI4-TX, KR4-TX & CR4-TX | ○ | ○ | ○ |
| 10G-KR | TekExpress 10G-KR-10G - KRコンプライアンス・ソリューションおよびDPOJET:10G-KR測定プラグイン。(Opt. DJAが必要) | ○ | ○ | ○ |
| 400G-TXE | TekExpress 400G-TXE - 400G Electrical Txコンプライアンス・ソリューションおよびDPOJET: CAUI4-TX測定プラグイン。IEEE-802.3bs/cd: 400GAUI/200G-KR/CR & OIF-CEI(VSR/MR/LR)をサポート。.(Opt. DJA、DJAN、PAM4、SDLA64が必要) | ○ | ○ | ○ |
| 40G-CR4 | TekExpress 40G-CR4 - 40GBase-CR4コンプライアンス・ソリューションおよびDPOJET: 40GBase-CR4測定プラグイン。IEEE 802.3-2012: Section 85をサポート。(Opt. DJAが必要) | ○ | ○ | ○ |
| AUTOEN10 | TekExpress車載用Ethernet-10BASE-T1Sコンプライアンス・ソリューション | ○ | ○ | ○ |
| AUTOEN10G | TekExpress車載用Ethernet - MultiGBASE-T1コンプライアンス・ソリューション(Opt DJAが必要). | ○ | ○ | ○ |
| Opt. BITERR | 最大14.1Gbpsの高速シリアル・ビット・エラー・レート検出器(フレーム・エラー検出器は含まれません。70KSXモデルのみ。)(Opt. ST14Gが必要) | ○ | ○ | ○ |
| BRR | TekExpress Automotive Ethernet - 100BASE-T1:1000BASE-T1コンプライアンス・ソリューション | ○ | ○ | ○ |
| CIO | DPOJET:CIO Tx/Rx測定プラグイン。DP2.0、TBT3、USB4をサポート(Opt. DJAが必要) | ○ | ○ | ○ |
| CMENET3 | TekExpress Ethernet - 10/100/1000 BASE-Tコンプライアンス・ソリューション | ○ | ○ | ○ |
| CMENET3A | TekExpress Ethernet - 10/100/1000 BASE - Tコンプライアンス・ソリューション(Opt. ET3が必要) | - | ○ | ○ |
| CPHY20 | TekExpress MIPI C-PHY 2.0 Txコンプライアンス・ソリューション(DJAが必要) | ○ | ○ | ○ |
| DDR-LP4 | DPOJET:LPDDR4 Tx電気検証ソリューション(Opt. DJA、DDRAが必要) | ○ | ○ | ○ |
| DDR5SYS | TekExpress DDR Tx-DDR5 System Level Txコンプライアンス/デバッグ自動ソリューション(Opt. DJA、SDLA64、VETが必要) | ○ | ○ | ○ |
| Opt. DDRA | DPOJET;DDR Tx電気検証ソリューション - DDR、DDR2、DDR3、DDR3L、DDR4、LPDDR、LPDDR2、LPDDR3、GDDR3、GDDR5をサポート(Opt. DJAが必要) | ○ | ○ | ○ |
| DJA | DPOJETジッタ/アイ解析ツール - Advanced | X | - | X |
| DJAU | DPOJETジッタ/アイ解析ツール - Advanced(12GHz超の70000シリーズ用) | - | X | - |
| Opt. DJAN | DPOJETジッタ/アイ解析ツール - ノイズ(Opt. DJAが必要) | X | X | X |
| DP12 | TekExpress DisplayPort - DisplayPort 1.2 Txコンプライアンス・ソリューション(Opt. DJAが必要) | X | X | X |
| DP14 | TekExpress DisplayPort - DisplayPort 1.4 Txコンプライアンス・ソリューション(Opt. DJA、SDLAが必要) | X | X | X |
| DP20 | TekExpress DisplayPort 2.0 Txコンプライアンス/デバッグ・ソリューション(Opt. CIO、DJA、SDLAが必要) | X | X | X |
| DPHY12 | TekExpress MIPI D-PHY 1.2 Txコンプライアンス・ソリューション(Opt. DJAが必要) | X | X | X |
| DPHY21 | TekExpress MIPI D-PHY 2.1 Txコンプライアンス・ソリューション(Opt. DJAが必要) | X | X | X |
| EARC21RX | HDMI 2.1 eARC拡張解析/コンプライアンス・ソフトウェア(Rxテスト用) | X | X | - |
| EARC21TX | HDMI 2.1 eARC拡張解析/コンプライアンス・ソフトウェア(Txテスト用) | X | X | - |
| Opt. EDP | DPOJET:Embedded DisplayPort 1.2 Tx 測定プラグイン(Opt. DJAが必要) | X | X | X |
| EDP14 | DPOJET:Embedded DisplayPort 1.4 Tx 測定プラグイン(Opt. DJAが必要) | X | X | X |
| Opt. FRQCNT | 周波数カウンタ/タイマ | X | X | X |
| HD21 | TekExpress HDMI 2.1 Txコンプライアンス・ソリューション(Opt. DJAが必要) | X | X | - |
| HD21DS | TekExpress HDMI 2.1 Rxコンプライアンス・ソリューション(Opt. HD21が必要) | X | X | X |
| HD21DSM | TekExpress HDMI 2.1 Rx電気およびプロトコル・コンプライアンス・パターン生成および校正ソリューション(Opt. HD21DSが必要) | X | X | X |
| Opt. HDM | TekExpress HDMI 2.0 Txコンプライアンス・ソリューション(Opt. DJAが必要) | X | X | X |
| Opt. HDM-DS | TekExpress HDMI 2.0 Rxコンプライアンス・ソリューションAWG70kを使用したHDMI 1.4のRxテストが含まれています。(Opt. HDMが必要) | X | X | X |
| Opt. HSSLTA | Ethernetリンクの高速シリアル・リンク・トレーニング解析 | X | X | X |
| HT3 | TDSHT3 - HDMI 1.4コンプライアンス・テスト・ソフトウェア | X | X | X |
| HT3DS | TDSHT3-HDMI 1.4コンプライアンス・テスト・ソフトウェアRxオプション(Opt. HT3が必要) | X | X | X |
| LPDDR5SYS | TekExpress DDR Tx-LPDDR5 System Level Txコンプライアンス/デバッグ自動ソリューション(Opt. DJA、SDLA64、VETが必要) | X | X | X |
| Opt. LT | 波形リミット・テスト | X | X | X |
| MPHY40 | TekExpress MIPI M-PHY HS-Gear1、Gear2、Gear3、およびGear4 Txコンプライアンス・ソリューション(Opt. DJAおよびSDLA64が必要) | X | X | X |
| MPHY50 | TekExpress MIPI M-PHY HS-Gear1、Gear2、Gear3、Gear 4、およびGear5 Txコンプライアンス・ソリューション(Opt. DJAおよびSDLA64が必要) | X | X | X |
| Opt. MHD | MHL拡張解析/コンプライアンス・ソフトウェア(Opt. DJA、2XL以上が必要) | X | X | X |
| Opt. NBASET | TekExpress Ethernet TX-NBASE-Tコンプライアンス・ソリューション。IEEE P802.3bz: Section 16; NBASE-Tをサポート | X | X | X |
| PAMJET-E | 電気信号用PAM4トランスミッタ解析ソフトウェア(Opt. DJA、DJANが必要) | X | X | X |
| PAMJET-O | 光信号用PAM4トランスミッタ解析ソフトウェア(Opt. DJA、DJANが必要) | X | X | X |
| PAMPCIE6 | 第6世代PCIe用PAM4測定解析パッケージ(Opt. PAMJET-Eが必要) | X | X | X |
| PCE3 | TekExpress PCIe Txコンプライアンス・ソリューションおよびDPOJET:PCIe Tx測定プラグイン。PCIe第1世代/第2世代/第3世代をサポート(Opt. DJA、SR-PCIEが必要) | X | X | X |
| PCE4 | TekExpress PCIe Txコンプライアンス・ソリューションおよびDPOJET:PCIe Tx測定プラグイン。PCIe第3世代/第4世代をサポート(Opt. DJA、PCE3、SR-PCIEが必要) | X | X | X |
| PCE5 | TekExpress PCIe Txコンプライアンス・ソリューション:PCIe第5世代をサポート(Opt. DJAが必要) | X | X | X |
| PCE6 | PCI Express第6代TekExpressコンプライアンス/デバッグ自動化ソフトウェア(オプションDJAおよびPAMPCIE6が必要) | X | X | X |
| SAS3-TSG | TekExpress SAS3 Txコンプライアンス・ソリューション(Opt. DJA、SAS3が必要) | X | X | X |
| SAS3-TSGW | TekExpress SAS-3 Tx WDPトランスミッタの測定(Opt. SAS3-TSGが必要) | X | X | X |
| SAS4-TSG | DPOJET:SAS4 Tx測定プラグイン(Opt. DJAが必要) | X | X | X |
| Opt. SATA-T-UP | TekExpress SATA Txコンプライアンス・ソリューション(PHY/TSG/OOBバンドル:SWオプション) | X | X | - |
| Opt. SATA-TSG | TekExpress SATA Txコンプライアンス・ソリューション(PHY/TSG/OOB)(Opt. DJAが必要) | X | X | X |
| Opt. SC | SignalCorrectケーブル/チャンネル/プローブ補正ソフトウェア | X | X | X |
| SDLA64 | シリアル・データ・リンク解析 - 測定回路の埋め込み解除、シミュレーション回路の埋め込み、トランスミッタおよびレシーバのイコライゼーション、および拡張解析およびモデリング・ツール | X | X | X |
| Opt. SFP-TX | TekExpress SFP+ QSFP+ Tx - Ethernet SFP+/QSFP+コンプライアンス・ソリューションおよびDPOJET:SFP+/QSFP+ Tx測定プラグイン。(Opt. DJAが必要) | X | X | X |
| Opt. SFP-WDP | TekExpress SFP+ QSFP+ Tx -波形歪みペナルティ測定(Opt. SFP-TXが必要) | X | X | X |
| SWX-DP | DisplayPort 1.2 Txのスイッチ・マトリックス・サポート(Opt. DP12が必要) | X | X | X |
| SWX-PCE | PCIe Txのスイッチ・マトリックス・サポート(Opt. PCE、PCE3、PCE4が必要) | X | X | X |
| TBT3 | TekExpress Thunderbolt 3 & Thunderbolt 4 Txコンプライアンス/デバッグ自動ソリューション(Opt. CIO、DJA、SDLA64が必要) | X | X | X |
| Opt. USB-TX | TekExpress USB 3.0 Txコンプライアンス・ソリューション(Opt. DJAが必要) | X | X | X |
| Opt. USB-TX-UP | TekExpress USB 3.0ドングル・ベースのライセンスをスコープ・ベースのライセンスにアップグレードします | X | X | X |
| USB2 | TekExpress USB 2.0の自動コンプライアンス・ソリューション | X | X | X |
| USB4 | TekExpress USB4 TxコンプライアンスおよびDPOJET:USB4 Tx/Rx測定プラグイン・ソリューション(Opt. CIO、DJA、SDLA64が必要) | X | X | X |
| Opt. USBSSP-TX | TekExpress USB 3.1 Txコンプライアンス・ソリューション(5Gbおよび10Gb)(Opt. DJA、USB-TXが必要) | X | X | X |
| XGBT2 | TekExpress Ethernet Tx-10GBASE-Tコンプライアンス・ソリューションIEEE 802.3: Section 55をサポート | X | X | X |
スペクトル解析および変調解析オプション、アップグレード、フローティング・ライセンス
次のスペクトル解析および変調解析オプション、アップグレード、フローティング・ライセンスを使用できます。「X」は、その項目が使用可能であることを示します。「-」は、その項目が使用できないことを示します。
| Opt. | 概要 | 型名 | アップグレード | フローティング・ライセンス |
|---|---|---|---|---|
| 5GNR | 5G NRアップリンク/ダウンリンクRFパワー、帯域幅、復調、エラー・ベクトル・マグニチュード測定(Opt. SVEが必要) | - | X | - |
| SVE | SignalVu® Essentials‐ベクトル信号解析ソフトウェア | X | - | X |
| SVEU | SignalVu Essentials ‐ ベクトル信号解析ソフトウェア(12GHz超の70000シリーズ用) | - | X | - |
| SVA | AM/FM/PMオーディオ信号解析(Opt. SVEが必要) | X | X | X |
| SVM | 汎用変調解析(Opt. SVEが必要) | X | X | X |
| SVO | フレキシブルOFDM解析(Opt. SVEが必要) | X | X | X |
| SVP | 拡張パルス信号解析(パルス測定を含む)(Opt. SVEが必要) | X | X | X |
| SVT | 周波数/位相セトリング時間測定(Opt. SVEが必要) | X | X | X |
| SV23 | WLAN 802.11a/b/g/j/p測定アプリケーション(Opt. SVEが必要) | X | X | X |
| SV24 | WLAN 802.11n測定アプリケーション(Opt. SV23が必要) | X | X | X |
| SV25 | WLAN 802.11ac測定アプリケーション(Opt. SV24が必要) | X | X | X |
| SV26 | APCO P25のコンプライアンス・テストおよび解析アプリケーション(Opt. SVEが必要) | X | X | X |
| SV27 | SignalVu Bluetooth LE TX SIG基本測定(Opt. SVEが必要) | X | X | X |
| SV28 | SignalVu LTEダウンリンクRF測定(Opt. SVEが必要) | X | X | X |
| SV30 | WiGig IEEE 802.11ad/ayトランスミッタ・テスト(Opt. SVEが必要) | X | X | X |
| アップグレード | 概要 |
|---|---|
| DPO7SXSSD-W10 DPO7SXSSD-W10 opt NOL (70GHzの機種を除く70kSXシリーズ。2つのオプションを同時にご注文ください) | スペア用ソリッド・ステート・ドライブ - Windows 10(すでに正規ライセンスのWindows 10を実行しているオシロスコープ用。プリインストール済み。TekScopeおよびオシロスコープ・アプリケーションが付属) |
| DPO7SXSSD-W10 DPO7SXSSD-W10 opt UP (70GHzの機種を除く70kSXシリーズ。2つのオプションを同時にご注文ください) | アップグレード用ソリッド・ステート・ドライブ - Windows 10(現在正規ライセンスのWindows 7を実行しているオシロスコープ用。Windows 10にアップグレード。プリインストール済み。TekScopeおよびオシロスコープ・アプリケーションが付属) |
| DPO7SXSSD70GW10 DPO7SXSSD70GW10 opt NOL (70GHzの機種のみ。2つのオプションを同時にご注文ください) | スペア用ソリッド・ステート・ドライブ - Windows 10(すでに正規ライセンスのWindows 10を実行している70GHzオシロスコープ用。プリインストール済み。TekScopeおよびオシロスコープ・アプリケーションが付属) |
| DPO7SXSSD70GW10 DPO7SXSSD-W10 opt UP (70GHzの機種を除く70000SXシリーズ。2つのオプションを同時にご注文ください) | アップグレード用ソリッド・ステート・ドライブ - Windows 10(現在正規ライセンスのWindows 7を実行しているオシロスコープ用。Windows 10にアップグレード。プリインストール済み。TekScopeおよびオシロスコープ・アプリケーションが付属) |
投資保護オプション
信号の高速化、新しい規格の進化に伴い、DPO70000SXシリーズも必要に応じて進化する必要があります。ご使用の周波数帯域は、アップグレードすることができます。ご使用のDPO70000SXシリーズを新シリーズにアップグレードしたり、性能を改善することができます。必要に応じてDPO70000SXシリーズをアップグレードする場合は、当社営業担当までご連絡ください。
電源プラグ・オプション
- Opt. A0
- 北米仕様電源プラグ(115V、60Hz)
- Opt. A1
- ユニバーサル欧州仕様電源プラグ(220V、50Hz)
- Opt. A2
- イギリス仕様電源プラグ(240V、50Hz)
- Opt. A3
- オーストラリア仕様電源プラグ(240V、50Hz)
- Opt. A5
- スイス仕様電源プラグ(220V、50Hz)
- Opt. A6
- 日本仕様電源プラグ(100V、50/60Hz)
- Opt. A10
- 中国仕様電源プラグ(50Hz)
- Opt. A11
- インド仕様電源プラグ(50Hz)
- Opt. A12
- ブラジル仕様電源プラグ(60Hz)
- Opt. A99
- 電源コードなし
サービス・オプション
- Opt. C3
- 3年間の校正サービス
- Opt. C5
- 5 年間の校正サービス
- Opt. D1
- 校正データ・レポート
- Opt. D3
- 3年試験成績書(Opt. C3と同時発注)
- Opt. D5
- 5年試験成績書(Opt. C5と同時発注)
- Opt. G3
- コンプリート・ケア3年(修理中の代替品などを含む)
- Opt. G5
- コンプリート・ケア5年(修理中の代替品などを含む)
- Opt. IF
- アップグレードのインストール・サービス
- Opt. R3
- 3年間の修理サービス(保証期間を含む)
- Opt. R5
- 5年間の修理サービス(保証期間を含む)
推奨アクセサリ
プローブ
- DPO7OE1
- 33GHz光プローブ
- DPO7OE2
- 59GHz光プローブ
- P7633
33GHz低ノイズTriMode®プローブ
- P7625
25GHz低ノイズTriMode®プローブ
- P7520A
25GHz TriMode®プローブ
- P7720
- 20GHz TriModeプローブ(TekFlex™コネクタ対応)
- P7313SMA
13GHz TriMode®差動SMAプローブ
- P6251
- DC~1GHz、42V、差動プローブ(TCA-BNC型変換アダプタが必要)
- TCPA300/TCPA400シリーズ
- 電流測定システム
- P5200/P5205/P5210
- 高電圧差動プローブ
- P77DESKEW
- SMA、半田付け、ブラウザ接続用のP7700シリーズ・プローブ・デスキュー・フィクスチャ
- 067-2431-xx
- SMAまたは半田付け接続用のプローブ・デスキュー・フィクスチャ(30GHzまで)
- 067-0484-xx
- アナログ・プローブ校正/デスキュー・フィクスチャ(4GHz)
- 067-1586-xx
- アナログ・プローブ・デスキュー・フィクスチャ(4GHz以上)
- 067-1686-xx
- パワー・デスキュー・フィクスチャ
アダプタ
- TCA-1MEG
TekConnect®ハイ・インピーダンス・バッファ・アンプ(P6139A型受動電圧プローブを含む)
- TCA292D
TekConnect®-2.92mm変換アダプタ(周波数帯域33GHzまで)
- TCA-BNC
TekConnect®-BNC変換アダプタ
- TCA-N
TekConnect®-N型変換アダプタ
- TCA-VPI50
- 50ΩTekVPI-TekConnect変換アダプタ
- TCA75
23GHz精密TekConnect®75Ω-50Ω変換アダプタ、75ΩBNC入力コネクタ
シグナルパス・ソリューション
- DPO7RFK1
- アッテネータ・キット(3dB、6dB、10dB、および20dB)、1.85mmコネクタ、70GHzにキャラクタライズ。アッテネータにはそれぞれシリアル番号が付与されており、Sパラメータが付属
- DPO7RFK2
- DPO7RFK1の内容に加えて、DCブロック、1.85mmと2.92mmのフィクスチャを接続するためのアダプタ(4個)が付属
- DPO7RFK3
- RFチャンネル・タイミング・スキュー・キット、65GHz、1.85mm。高性能パワー・デバイダと1.85mmアダプタ(Ma-Ma)が付属
- 011-0187-00
- アダプタ、1.85mm、(Ma)-2.92mm、(Fe)
- 050-3854-01
- アダプタ、1.85mm、(Fe)-2.92mm、(Ma)Sパラメータ・データが含まれます。
- 050-3851-00
- DCブロック、1.85mm、(Ma)-(Fe)。Sパラメータ・データが含まれます。
- 174-6663-01
- ケーブル;2.92-2.92mmケーブル・ペア、ストレート、1.5ps位相整合、500mm、40GHz
- PMCABLE1M
- 位相マッチング・ケーブル・ペア、40GHz、2.92mm、(Ma)-(Ma)、1m。
- 174-6978-00
- ケーブル;2.92-2.92mmケーブル・ペア、ストレート、1.5ps位相整合、2m、40GHz
- 174-6664-01
- ケーブル;SMA-SMAケーブル・ペア、ストレート、1.5ps位相整合、200mm、20GHz
- 174-6665-01
- ケーブル;SMA-to-SMA、シングル・ケーブル、ライト・アングル、 300mm、20GHz
- 174-6666-01
- ケーブル;SMA-to-SMA、シングル・ケーブル、ライト・アングル、 500mm、20GHz
- 174-6667-01
- ケーブル;SMA-SMA間、シングル・ケーブル、ライト・アングル、1.829m、20GHz
- 174-6658-01
- ケーブル;SMP-SMPケーブル・ペア、ライト・アングル、2.5ps位相整合、300mm、20GHz
- 174-6659-01
- ケーブル;SMP-SMPケーブル・ペア、ライト・アングル、2.5ps位相整合、1m、20GHz
その他
- 016-2095-xx
- ラックマウント・キット
- 016-2102-xx
- SSDマウント・キット(機器前面のラックマウント・トレイ)
- 077-0076-xx
- pdf版サービス・マニュアル、ハード・ドライブ上
- 016-2104-00
- トランジット・ケース(カーボン・ファイバ)
- K4000
- 台車
- DPO7AFP
- 外部前面パネル
- DPO7USYNC 1 M
- UltraSyncケーブル(1m)
- DPO7USYNC 2 M
- UltraSyncケーブル(2m)







