Contact us
Live Chat with Tek representatives. Available 6:00 AM - 4:30 PM
Call us at
Available 6:00 AM – 5:00 PM (PST) Business Days
Download
Download Manuals, Datasheets, Software and more:
Feedback
Mixed Signal and Digital Phosphor Oscilloscopes
MSO/DPO70000DX Series Datasheet
More Information
- Máy hiện sóng lân quang số/tín hiệu hỗn hợp MSO/DPO70000DX
- Product Support
- Explore more Software models
Read Online:

Engineers rely on an oscilloscope throughout their design cycle, from prototype turn-on to production testing. The MSO/DPO70000DX Series oscilloscopes unique capabilities combined with exceptional signal acquisition performance and analysis accelerate your measurement tasks.
Key performance specifications
- Up to 33 GHz analog bandwidth and rise time as fast as 9 ps. Enables measurement on the latest high-speed serial standards
- True 33 GHz Real-time Analog Bandwidth on 2 Channels with 33 GHz models
- Industry-leading sample rate and timing resolution
- 100 GS/s on 2 Channels (33, 25, 23, 20, 16, and 12.5 GHz models)
- Four-channel Simultaneous Performance
- Up to 23 GHz Bandwidth
- Up to 50 GS/s Real-time Sample Rate
- Up to 500 Megasample Record Length with MultiView Zoom™ for quick navigation
- Fastest Waveform Capture Rate with >300,000 wfms/s maximum per channel
- 16 Logic Channels with 80 ps Timing Resolution for Debug of digital and analog signals (MSO70000DX Series only)
- Unique iCapture® capability enables viewing analog characteristics of digital channels with single probe connection
- 6.25 Gb/s Real-time Serial Trigger – Assures triggering on the first instance of a specified NRZ or 8b/10b pattern to allow isolation of pattern-dependent effects
- Application Support for High-speed Serial Industry Standards, wideband RF, Power supplies, and memory – Enables standard-specific certification, measurement automation, and ease of use
Key features
- Superior signal integrity and excellent signal-to-noise ratio – observe the truest representation of your waveform
- Pinpoint triggering – minimize time spent trying to acquire problem signals for efficient troubleshooting and shortened debug time
- Visual Trigger – precisely qualify triggers and find unique events in complex waveforms
- Search and Mark – provides waveform or serial bus pattern matching and software triggers for signals of interest
- Automated Serial Analysis options for PCI Express, 8b/10b encoded serial data, I2C, SPI, CAN, LIN, FlexRay, RS-232/422/485/UART, USB 2.0, HSIC, MIL-STD-1553B, and MIPI® C-PHY, D-PHY and M-PHY
- P7700, P7600, and P7500 TriMode probing system – perfectly matched signal connectivity, with calibration to probe tip
- P6780 and P6717A high-performance 17-channel logic probes with bandwidths up to 2.5 GHz for connections to today's fast digital signals (MSO70000DX Series only)
Connectivity
- USB 2.0 host port on both the front panel and rear panel for quick and easy data storage, printing, and connecting a USB keyboard
- Integrated 10/100 Ethernet port for network connection and Video Out port to export the oscilloscope display to a monitor or projector
MSO/DPO70000DX Quick Selection Guide
| Model | Analog Bandwidth | Analog Sample Rate – 2/4 Channels | Standard Memory – Analog + Digital | Analog Channels | Logic Channels |
|---|---|---|---|---|---|
| DPO70804DX | 8 GHz | 100 GS/s / 50 GS/s | 62.5 MS | 4 | — |
| MSO70804DX | 8 GHz | 100 GS/s / 50 GS/s | 62.5 MS | 4 | 16 |
| DPO71254DX | 12.5 GHz | 100 GS/s / 50 GS/s | 62.5 MS | 4 | — |
| MSO71254DX | 12.5 GHz | 100 GS/s / 50 GS/s | 62.5 MS | 4 | 16 |
| DPO71604DX | 16 GHz | 100 GS/s / 50 GS/s | 62.5 MS | 4 | — |
| MSO71604DX | 16 GHz | 100 GS/s / 50 GS/s | 62.5 MS | 4 | 16 |
| DPO72004DX | 20 GHz | 100 GS/s / 50 GS/s | 62.5 MS | 4 | — |
| MSO72004DX | 20 GHz | 100 GS/s / 50 GS/s | 62.5 MS | 4 | 16 |
| DPO72304DX | 23 GHz | 100 GS/s / 50 GS/s | 62.5 MS | 4 | — |
| MSO72304DX | 23 GHz | 100 GS/s / 50 GS/s | 62.5 MS | 4 | 16 |
| DPO72504DX | 25 GHz | 100 GS/s / 50 GS/s | 62.5 MS | 4 | — |
| MSO72504DX | 25 GHz | 100 GS/s / 50 GS/s | 62.5 MS | 4 | 16 |
| DPO73304DX | 33 GHz | 100 GS/s / 50 GS/s | 62.5 MS | 4 | — |
| MSO73304DX | 33 GHz | 100 GS/s / 50 GS/s | 62.5 MS | 4 | 16 |
Application support
- High-speed serial industry standards compliance
- SignalVu RF and vector signal analysis
- DDR memory bus analysis
Applications
- Design verification including signal integrity, jitter, and timing analysis
- Design characterization for high-speed, sophisticated designs
- Certification testing of serial data streams for industry standards
- Memory bus analysis and debug
- Prototype turn-on and power supply verification
- Research and investigation of transient phenomena
- Production testing of complex systems
- Spectral analysis of transient or wide-bandwidth RF signals
System turn-on and verification
From the time a design is first powered up through the initial operational checks, the MSO/DPO70000DX Series provide the features you need.
Uncompromised four-channel acquisition
With very low noise and up to 50 GS/s sample rate on all four channels the MSO/DPO70000DX Series ensures that signal integrity checks and timing analysis can be done without worrying about noise and jitter in the scope distorting the measurements. Single-shot bandwidths up to 23 GHz on all four channels ensure that you'll capture your signals of interest without worrying about undersampling when using more than 1 or 2 channels.
For applications requiring the lowest internal noise and jitter, 100 GS/s performance further reduces noise and jitter and provides additional measurement headroom.
Unmatched acquisition and signal-to-noise performance
The superior signal integrity and excellent signal-to-noise ratio of the MSO/DPO70000DX Series ensures confidence in your measurement results.
- Up to 33 GHz, matched across 4 channels
- Bandwidth enhancement eliminates imperfections in frequency response all the way to the probe tip. User-selectable filters for each channel provide magnitude and phase correction for more accurate representation of extremely fast signals. In addition, only Tektronix allows the user to disable the bandwidth enhancement for applications needing the highest measurement throughput.
- Simultaneous high sample rate on all channels captures more signal details (transients, imperfections, fast edges)
- 100 GS/s on 2 channels and 50 GS/s on all analog channels
- 12.5 GS/s on all logic channels in the MSO70000DX Series
- Low jitter noise floor and high vertical accuracy provide additional margin in your measurements
- Long record length provides high resolution and extended-duration waveform capture
- Standard 62.5 MS per channel
- Optional up to 500 MS on four channels/1 GS on two channels
- On the MSO70000DX Series, the record length of logic channels matches the analog record lengths for uncompromised analog and digital acquisition
- MultiView Zoom helps you manage long records, compare and analyze multiple waveform segments
With high signal-to-noise ratio and low internal noise floor, the MSO/DPO70000DX Series enable you to perform precise characterization measurements. When debugging a DUT, a low noise floor and maximum signal fidelity of the measurement instrument allows you to find the smallest anomalies affecting the DUT's performance. For RF signals, a lower noise floor translates into a higher dynamic range, opening the MSO/DPO70000DX Series to a wider range of applications.
Widest range of probing solutions
Whether you need to measure 8 Gb/s serial data, fast digital logic, or switching currents from your new power supply design, Tektronix offers a vast array of probing solutions, including active single-ended, differential, logic, high voltage, current, optical, and a wide range of probe and oscilloscope accessories.


16-channel digital acquisition (MSO70000DX Series)
When you have many interfaces to verify, the MSO70000DX Series with 4 analog and 16 logic channels enables efficient channel-to-channel timing checks. With timing resolution of 80 ps, the MSO70000DX Series digital acquisition system enables you to make precise timing measurements on as many as 20 channels simultaneously.
iCapture™ – One connection for analog and digital (MSO70000DX Series)
The number of signals that must be verified can often make the checkout of a design long and involved. By using the iCapture digital-to-analog multiplexer feature, you can easily verify the analog characteristics of any of the 16 signals connected to the MSO70000DX Series digital channels without changing probes or connections. Using iCapture, you can quickly view the analog characteristics of any input channel. If the signal is working as expected, relegate it to a digital-only view and continue testing other lines.
Bus decoding and triggering
Verifying your system operation often requires the ability to see specific system states on a key bus such as the DDR SDRAM interface. The MSO/DPO70000DX Series includes parallel and serial bus decoding that provides deeper insight into the system's behavior. Using the bus triggering capability of the MSO/DPO70000DX Series to isolate the exact state needed or find invalid bus sequences is as easy as defining the bus and choosing the bit pattern or symbolic word that describes the desired state. In addition, serial bus decoding for 8b/10b encoded data, I2C, SPI, RS-232/422/485/UART, USB, and MIPI DSI and CSI2 buses enables you to identify where control and data packets begin and end as well as identify subpacket components such as address, data, CRC, etc.

Deep record length available on all channels
Longer duration events such as power supply sequencing and system status words can be analyzed without sacrificing timing resolution using the long memory depths available on all four analog channels in the DPO70000DX Series as well as the 16 logic channels of the MSO70000DX Series. Optional memory depths up to 500 MS (4 channels)/1 GS (2 channels) with option 50XL are available.

Power supplies can be a critical failure point in any system. Careful testing of the power delivery system's power on sequence can be time consuming. The MSO70000DX Series provides independent logic thresholds for each logic channel enabling multiple logic voltages to be set up and observed simultaneously for quick verification of the system's power rails.
Protocol and serial pattern triggering
To verify serial architectures, the serial pattern triggering for NRZ serial data streams with built-in clock recovery in the MSO/DPO70000DX Series allows correlating events across physical and link layers. The instruments can recover the clock signal, identify transitions, and allow you to set the desired encoded words for the serial pattern trigger to capture. This feature is available on the MSO/DPO70000DX Series as Option ST6G. For higher bit rate standards like USB 3.0, the 8b/10b serial pattern trigger and decode covers data rates up to 6.25 Gb/s.
Pattern lock triggering adds an extra dimension to NRZ serial pattern triggering by enabling the oscilloscope to take synchronized acquisitions of a long serial test pattern with outstanding time base accuracy. Pattern lock triggering can be used to remove random jitter from long serial data patterns. Effects of specific bit transitions can be investigated, and averaging can be used with mask testing. Pattern lock triggering supports up to 6.25 Gb/s NRZ serial data streams and is included as part of Option ST6G on the MSO/DPO70000DX Series.
Visual Trigger – Find the signal of interest quickly
Finding the right cycle of a complex bus can require hours of collecting and sorting through thousands of acquisitions for an event of interest. Defining a trigger that isolates the desired event speeds up debug and analysis efforts.
Visual Trigger qualifies the Tektronix Pinpoint Triggers by scanning through all waveform acquisitions and comparing them to on-screen areas (geometric shapes). Up to eight areas can be created using a mouse or touchscreen, and a variety of shapes (triangles, rectangles, hexagons, or trapezoids) can be used to specify the desired trigger behavior. Once shapes are created, they can be edited interactively to create ideal trigger conditions
Visual Trigger extends the Tektronix oscilloscope's triggering capabilities for a wide variety of complex signals as illustrated by the examples shown here.


By triggering only on the most important signal events, Visual Trigger can save hours of capturing and manually searching through acquisitions. In seconds or minutes, you can find the critical events and complete your debug and analysis efforts. Using the Mark All Trigger Events feature, once your Visual Trigger is set, your oscilloscope can automatically search the entire acquired waveform for all events with the same characteristics and mark them for you - a great time-saving feature.
DDR memory bus events involve clocks, strobes and data channels as well as multiple amplitudes and bursts of data.



System characterization and margin testing
When a design is working correctly and the next task is to fully characterize its performance, the MSO/DPO70000DX Series offers the industry's most comprehensive set of analysis and certification tools, such as math expressions, waveform mask testing, pass/fail testing, event searching, and event marking. Tools for automation reduce the tedium, increase reliability, and speed up the process of making hundreds of characterization measurements.
Advanced waveform analysis
Full analysis of the power, voltage, and temperature corners of your system under test can be very time consuming. The MSO/DPO70000DX Series offer a wide range of built-in advanced waveform analysis tools.
Waveform cursors make it easy to measure trace-to-trace timing characteristics, while cursors that link between YT and XY display modes make it easy to investigate phase relationships and Safe Operating Area violations. Select from 53 automatic measurements using a graphical palette that logically organizes measurements into Amplitude, Time, Histogram, and Communications categories. Gather further insight into your measurement results with statistical data such as mean, min, max, standard deviation, and population.
Define and apply math expressions to waveform data for on-screen results in terms that you can use. Access common waveform math functions with the touch of a button. Or, for advanced applications, create algebraic expressions consisting of live waveforms, reference waveforms, math functions, measurement values, scalars, and user-adjustable variables with an easy-to-use calculator-style editor.
With deep acquisition memory, margin testing can be done over many cycles and long duration trends in the data can be observed. Plus, data from the oscilloscope can be captured into Microsoft Excel using the unique Excel toolbar, and formatted into custom reports using the Word toolbar provided with the MSO/DPO70000DX Series.
Automated tools to increase measurement throughput
Ease of use and measurement throughput are key when a large number of measurements must be completed with a performance oscilloscope. DPOJET Jitter and Eye Diagram measurement application provides the tools you need to quickly perform a high volume of measurements and collect statistics. DPOJET Essentials is standard on the MSO/DPO70000DX Series with the DPOJET Advanced version available as an option. Application-specific measurement packages are also available that extend DPOJET and perform the extensive set of tests required by industry standard groups. User-defined measurements can be added to DPOJET using the Application Developers Kit (ADK) that comes standard with the oscilloscope.

To support the DPO7OE1 optical probe, DPOJET now also provides optical measurements, such as Extinction Ratio (ER), Average Optical Power (AOP), Optical Modulation Amplitude (OMA), Optical High value, and Optical Low value.
Error detector
When performing receiver testing on a serial transceiver, a BER measurement is often required. The MSO/DPO70000DX series offer an optional built-in error detector function for 8b/10b-encoded signals. The built-in error detector comes with presets for testing PCIe, USB3.0, and SATA signals up to 6 Gb/s. The error detector settings can be customized to work with a generic 8b/10b-encoded signal and can be set to detect bit, character, or frame errors. When an error is detected, the scope will trigger and display the waveform bits where the error occurred.
RF and vector signal analysis
When vector signal analysis of RF or baseband signals is needed, the optional SignalVu application enables measurements in multiple domains (frequency, time, phase, modulation) simultaneously. SignalVu measurements are fully correlated with the scope's time domain acquisition and triggering. Time domain events, such as commands to an RF subsystem, can be used as trigger events, while the subsystem's RF signal can be seen in the frequency domain. SignalVu also provides wireless standards measurements such as IEEE 802.11 a/b/g/j/p/n/ac that can be correlated in the time domain 1.

TekExpress® software automation framework
The TekExpress software automation framework has been developed for automated one-button testing of high-speed serial data standards. TekExpress efficiently executes the required tests for many serial standards such as SATA, SAS, MIPI C-PHY, MIPI D-PHY, MIPI M-PHY, DDR/LPDDR, PCI Express, USB, DisplayPort, and NBASE-T (2.5G/5G/10G) Ethernet. Run on an external Windows PC, the TekExpress software orchestrates the instrument setup and control sequences to provide complete test results for complete design validation.
Beyond using the TekExpress framework, custom applications that you develop yourself using application development environments such as MATLAB can further extend the tool set of the MSO/DPO70000DX Series.
Characterization measurements depend upon accuracy and repeatability. The wide bandwidth and unmatched signal fidelity of the MSO/DPO70000DX analog front end ensures that your signal quality measurements such as rise times are faithful and amplitude correct with flatness of ±0.5 dB.



Custom filter and de-embed capability
Create your own filters or use the filters provided as standard with the MSO/DPO70000DX Series to enhance your ability to isolate or remove a component of your signal (noise or specific harmonics of the signal). These customizable FIR filters can be used to implement signal-processing techniques, such as removing signal pre-emphasis or minimizing the effects of fixtures and cables connected to the device under test. Using the optional Serial Data Link Analysis Visualizer (SDLA64) application, you can gain further insight into serial data links with the capability to emulate the serial data channel from its S-parameters, remove reflections, cross-coupling, and loss caused by fixtures, cables, or probes, and open closed eyes caused by channel effects using receiver equalization techniques, such as CTLE, DFE, FFE. IBIS-AMI models for silicon-specific receiver equalization can be used to observe on-chip behavior.

Application-specific solutions – enable standard-specific certification, measurement automation, and extended signal analysis
Accurate, Simple, and Customizable Physical Layer Certification Testing – For designers with industry-standard certification needs, standard-specific compliance and analysis modules that configure the pass/fail waveform mask and measurement limit testing are available as options on the MSO/DPO70000DX Series. Modules are available for PCI Express, DDR/LPDDR Memory, Serial ATA, SAS, HDMI, Ethernet, DisplayPort, MIPI® C-PHY, MIPI® D-PHY and M-PHY, Power Supplies, and USB.
See the following list for highlights of the available application-specific solutions:




For more information on PAM4 testing, please refer to the PAMJET datasheet and related PAM4 documents.









Certification
This is the start of your concept. Before a product can go to market, you often need to complete a series of certification tests on the industry-standard high-speed serial buses in your design. These tests can involve many hours of wrestling with test fixtures, reading certification documents, and collecting sufficient data to validate that your system passes the required tests.
Serial pattern triggering
Real-time serial pattern triggering and protocol decode with built-in clock recovery recovers the clock signal, identifies the transitions, and decodes characters and other protocol data. You can see the 8b/10b bit sequences decoded into their words for convenient analysis, and set the desired encoded words for the serial pattern trigger to capture. With pattern lock triggering, the MSO/DPO70000DX Series can synchronize to long serial test patterns with data rates up to 6.25 Gb/s and remove random jitter.
DPOJET jitter, timing, and eye diagram analysis
The MSO/DPO70000DX Series features the highest-accuracy jitter and timing measurements as well as comprehensive analysis algorithms. Tight timing margins demand stable, low-jitter designs. You can make jitter measurements over contiguous clock cycles on every valid pulse in a single-shot acquisition. Multiple measurements and trend plots quickly show system timing under variable conditions, including Random, Deterministic, and Bounded Uncorrelated Jitter separation.
Communications mask testing
Provides a complete portfolio of masks for verifying compliance to serial communications standards. Over 150 masks including the following standards are supported – PCI Express, ITU-T/ANSI T1.102, Ethernet IEEE 802.3, ANSI X3.263, Sonet/SDH, Fibre Channel, InfiniBand, USB, Serial ATA, Serial Attached SCSI, IEEE 1394b, RapidIO, OIF Standards, Open Base Station Architecture Initiative (OBSAI), Common Public Radio Interface (CPRI).

Protocol Decode for High Speed Serial buses
The MSO/DPO70000DX Series oscilloscopes provide optional protocol analysis for HSS buses such as PCI Express gen 1/2/3/4/5, MIPI D-PHY (CSI, DSI) and 8b/10b-encoded buses. With these capabilities, bit sequences can be decoded into familiar commands and data packets for faster analysis. With the PCI Express decoder, the data is displayed in a protocol-aware view using characters and terms from the standard, such as the ordered sets: SKP, Electrical Idle, and EIEOS


Both the 8b/10b serial bus trigger and the advanced search and mark feature on the oscilloscope are integrated with the HSS protocol decode to quickly isolate events of interest in a HSS data stream.
User-selectable bandwidth limit filters
While wide bandwidth is needed to characterize your high-speed serial designs, certification testing can require a specific instrument bandwidth appropriate for the signal's data rate in order to correlate test results between different test labs. The MSO/DPO70000DX Series feature user-selectable bandwidth limiting filters. Using these bandwidth limit filters which range from 500 MHz to 33 GHz, you will ensure that your measurement is done using the bandwidth specified by the industry standard.
Debugging
Throughout the design cycle, MSO/DPO70000DX Series oscilloscopes provide the ability to debug malfunctioning subsystems and isolate the cause. With the high waveform capture rate of FastAcq® you can quickly identify signal anomalies that occur intermittently – saving minutes, hours, or even days by quickly revealing the nature of faults so sophisticated trigger modes can be applied to isolate them. Using Pinpoint® triggers, infrequent events such as glitches or signal runts caused by bus contention or signal integrity issues can be captured, analyzed, and then eliminated.
FastAcq® – Expedites debugging by clearly showing imperfections
More than just color grading or event scanning, the FastAcq® proprietary DPX® acquisition technology captures signals at more than 300,000 waveforms per second on all four channels simultaneously, dramatically increasing the probability of discovering infrequent fault events. And with a simple turn of the intensity knob you can clearly “see a world others don't see”, displaying the complete picture of your circuit's operation. Some oscilloscope vendors claim high waveform capture rates for short bursts of time, but only MSO/DPO70000DX Series oscilloscopes, enabled by DPX® technology, can deliver these fast waveform capture rates on a sustained basis.
Pinpoint® trigger
Whether you're trying to find a problem signal or need to isolate a section of a complex signal for further analysis, like a DDR Read or Write burst, Tektronix Pinpoint triggering provides the solution. Pinpoint triggering allows selection of virtually all trigger types on both A and B trigger events delivering the full suite of advanced trigger types for finding sequential trigger events. Pinpoint triggers provide trigger reset capabilities that begin the trigger sequence again after a specified time, state, or transition so that even events in the most complex signals can be captured. Other oscilloscopes typically offer less than 20 trigger combinations; Pinpoint triggering offers over 1400 combinations, all at full performance. Visual Trigger extends the Pinpoint Triggering's capabilities, adding another level of trigger qualification to find important events in a wide variety of complex signals.
With Enhanced Triggering, trigger jitter is reduced to <100 fs. With this stability at the trigger point, the trigger point can be used as a measurement reference.
B scan event trigger
Users who wish to create eye diagrams from data bursts synchronized or initiated by an A event will find the B Event Scan trigger function especially useful. B Event Scan is an A to B trigger sequence that will trigger and capture burst event data of interest defined by the B Event setup menu. Captured bits can be scanned in a sequential or randomized fashion, alternatively the trigger can toggle between two successive B trigger events.


Logic pattern triggering
Logic pattern triggering allows logic qualification that controls when to look for faults and ignore events that do not occur during the desired state. On the MSO70000DX Series, up to 20-bit wide logic pattern triggering enhances the Pinpoint trigger capabilities by helping you isolate the specific system state and analog events that are causing system failure.
Digital A then analog B triggering (MSO70000DX Series only)
Advanced triggering capabilities include Digital A then Analog B to help you to identify a specific digital pattern or system state and then wait for an analog event such as a runt pulse to trigger the acquisition.
Integrated logic channels (MSO70000DX Series only)
The MSO70000DX Series extends the debug capabilities of a 4-channel oscilloscope with an additional 16 logic channels that can be used to provide system level context when the fault occurs. This context, such as an illegal system state or error, may be the clue that leads to the root cause. When other oscilloscopes require you to use a logic analyzer to see the digital data you need to solve your debugging challenge, the MSO70000DX Series can effectively debug and verify many digital timing issues in the system more quickly and easily. With 80 ps timing resolution and channel-to-channel skews of as little as 160 ps, the integrated logic channels allow you to view and measure time-correlated digital and analog data in the same display window.

FastFrame™
When the key events you are interested in are widely spaced in time, such as bursts of activity on a bus, the FastFrame segmented memory feature on the MSO/DPO70000DX Series enables you to capture the events of interest while conserving acquisition memory. Using multiple trigger events, FastFrame captures and stores short bursts of signals and saves them as frames for later viewing and analysis. On the MSO70000DX Series, FastFrame and bus or logic triggering enable you to capture your fastest, bursty signals on the analog channels at the highest sample rate while the logic channel trigger recognizes the bus cycle of interest. Capturing thousands of frames is possible, so long-term trends and changes in the bursting signal can be analyzed. Signals captured with FastFrame can also be post-processed using waveform averaging or envelope mode.
iCapture™ (MSO70000DX Series only)
When an anomaly is seen on digital lines, iCapture delivers new insight into the analog behavior of the digital signals. With iCapture, you can route any 4 of the 16 logic channels to the MSO70000DX Series analog acquisition system so that these signals can be viewed in finer detail. The unique multiplexer circuitry of iCapture provides simultaneous digital and analog views of signals without needing to move the logic probe or double probe the circuit.
Advanced search and mark
Isolating the key event causing your system failure can often be a tedious task. With the Advanced Event Search and Mark feature standard on the MSO/DPO70000DX Series, examining data and highlighting important events, skipping the unimportant ones, and enhancing the comprehension of event relationships is made easy. With ASM, you'll be able to navigate through long record length acquisitions effortlessly and quickly locate the event you have been trying to find. Advanced searches can be defined individually or using the scope's trigger settings as the definition for the search. Even Visual Trigger areas can be used as part of the ASM criteria.

Embedded serial bus (I2C, SPI, RS-232/422/485, UART, USB) decoding and triggering
The MSO/DPO70000DX Series instruments provide integrated support for a broad range of serial buses – I2C, SPI, RS-232/422/485/UART, and USB. This support for up to 16 separate serial buses enables you to monitor or debug subsystems and components, such as frequency synthesizers, D/A converters, and Flash Memory that are controlled or monitored through serial control buses. While monitoring or debugging these serial buses alone is relatively easy, decoding events on the serial bus can also enable more complex system-level debugging. When you experience an issue with a higher-speed serial interface, the clue to what is going wrong may be found by using the serial bus decode feature to observe the data on your I2C, SPI, RS-232/422/485/UART, or USB interface.
Probing – analog and digital
Often the biggest challenge in debugging a system is getting access to the required signals. Tektronix offers a wide array of probing solutions, including the P7700, P7600, and P7500 TriMode probing system with bandwidths that are perfectly matched to the MSO/DPO70000DX Series. These TriMode probes allow you to switch among differential, single ended, and common-mode measurements without moving the probe from its connection points. The P7700 and P7500 series are compatible with all MSO/DPO70000DX and DPO70000SX models. The P7600 series is compatible with MSO/DPO70000DX and DPO70000SX models, and combines low noise, 33 GHz bandwidth and the convenience of TriMode™ probing. The P7500 Series offers probes with performance from 4 GHz to 25 GHz and offers several low-cost solder tips with quick connection features that allow moving the probe to various solder points fast and easy.

On the MSO70000DX Series, the P6780 differential, P6750 high-density D-Max, and P6717A general-purpose logic probes provide connectivity to low-speed and high-speed digital signals with low loading, small size, and a range of accessories for soldering or browsing.

DPO7OE Series Optical Probes
The DPO7OE Series Optical probes can be used as an Optical Reference Receiver for high speed serial data signals (using selectable Bessel-Thomson ORR filters), or can be used as a conventional O/E converter for general wide-bandwidth optical signal acquisition. The DPO7OE Series (DPO7OE1 and DPO7OE2) probes are compatible with MSO/DPO70000DX and DPO70000SX models. Connected to TekConnect channels for up to 33 GHz bandwidth.

Production testing
In addition to assisting engineers with design tasks, the MSO/DPO70000DX Series allow test engineers to test analog and digital signals with a wide range of clock speeds and data rates. Rackmount options are available for mounting the MSO/DPO70000DX Series into an EIA standard 19 inch (487 mm) rack. An IEEE 488.2 standard GPIB interface is standard on all models.
LXI Class C
Using the LXI Web Interface, you can connect to the MSO/DPO70000DX Series through a standard web browser by simply entering the oscilloscope’s IP address in the address bar of the browser. The web interface enables viewing of instrument status and configuration, as well as status and modification of network settings. All web interaction conforms to the LXI Class C specification.
OpenChoice® analysis tools
The OpenChoice Software allows you to customize your test and measurement system with familiar analysis tools. The analysis and networking features of the OpenChoice software add more flexibility to Tektronix MSO/DPO70000DX Series oscilloscopes: Using the fast embedded bus, waveform data can be moved directly from acquisition to analysis applications on the Windows desktop at much faster speeds than conventional GPIB transfers.
Implementation by Tektronix of industry-standard protocols, such as TekVISA interface and ActiveX controls, are included for using and enhancing Windows applications for data analysis and documentation. IVI instrument drivers are included to enable easy communication with the oscilloscope using GPIB, RS-232, and LAN connections from programs running on the instrument or an external PC.
The Application Development Kit (ADK) extends the OpenChoice framework to support custom end-user and third-party application development. ADK documentation describes how to implement the Data Store Public Interface to speed internal transfer of waveform data through user-created data processing algorithms and display the results in real time on the oscilloscope screen. The Data Store Public Interface is >2X faster than traditional GPIB-based data transfer techniques. The Data Store Public Interface is accessible through MathWorks MATLAB or .NET languages such as C# or Visual Basic. Other features of the ADK include a DPOJET plug-in that enables users to add custom measurements to this market-leading timing and jitter analysis tool. The ADK provides comprehensive documentation and coding examples to aid the user in developing their own unique analysis tool kit to quickly capture and analyze their signals.
Research
With industry-leading acquisition speed and signal-to-noise ratio performance, the MSO/DPO70000DX Series can provide researchers with tools that allow them to capture, display, and analyze high-speed and transient signals with unmatched precision.
Full control of acquisition and display parameters
You have full control of the instrument's acquisition modes. Choose the mode you need to do your job the fastest: Automatic, Constant Sample Rate, or Manual settings. When you are doing signal exploration and want a lively signal, the default Automatic mode provides you with the liveliest display update rate. If you want the highest real-time sample rate that will give you the most measurement accuracy, then the Constant Sample Rate mode is for you. It will maintain the highest sample rate and provide the best real-time resolution. Finally, the Manual mode ensures direct and independent control of the sample rate and record length for applications requiring specific settings.
Document tools
The OpenChoice architecture provides a comprehensive software infrastructure for faster, more versatile operations. Data transfer utilities, such as the Excel or Word toolbar plug-ins can be used to simplify analysis and documentation on the Windows desktop or on an external PC.
Unmatched usability
The MSO/DPO70000DX Series instruments excel in usability with a suite of productivity features, such as a touch screen, flat menu structures, intuitive graphical icons, knob-per-channel vertical controls, right clicks, mouse wheel operation, and familiar Windows-based controls.
Remote Desktop
When your oscilloscope is connected to a network, use the Windows Remote Desktop utility to access your oscilloscope from across the lab or across the globe.
MyScope® – Create your own control windows
Easily create your own personalized "toolbox" of oscilloscope features in a matter of minutes using a simple, visual, drag-and-drop process. Once created, these custom control windows are easily accessed through a dedicated MyScope button and menu selection on the oscilloscope button/menu bar, just like any other control window. You can make an unlimited number of custom control windows, enabling each person who uses the oscilloscope in a shared environment to have their own unique control window. MyScope control windows will benefit all oscilloscope users, eliminating the ramp-up time that many face when returning to the lab after not using an oscilloscope for a while, and enables the power user to be far more efficient. Everything you need is found in one control window rather than navigating through multiple menus to repeat similar tasks.
Option asset management: floating or fixed
Many Tektronix application solutions and hardware options are enabled with an encrypted license key that is entered through the oscilloscope's Utilities menu. You now have two options. The first option is a fixed license applied to a specific oscilloscope serial number and is permanently enabled. A fixed license cannot be moved from one oscilloscope to another.
The second option is a floating license. Floating licenses provide the capability to move a license-key enabled option from one oscilloscope to another. This capability helps users with distributed teams and several Tektronix MSO/DPO70000DX or DPO70000SX Series oscilloscopes to better manage their assets and deploy applications or other options such as extended memory to the oscilloscope where it is needed.

Managing and deploying floating licenses uses an easy online licensing management system. All floating license management functions are maintained on Tektronix secure servers and no infrastructure or your company IT department involvement is necessary. Simply utilize your myTek account to access, track, and deploy your oscilloscope floating-license enabled options.
Performance you can count on
Depend on Tektronix to provide you with performance you can count on. All Tektronix products are backed with industry-leading service and support.
Specifications
All specifications are guaranteed unless noted otherwise. All specifications apply to all models unless noted otherwise.
Model overview
| DPO70804DX, MSO70804DX | DPO71254DX, MSO71254DX | DPO71604DX, MSO71604DX | DPO72004DX, MSO72004DX | DPO72304DX, MSO72304DX | DPO72504DX, MSO72504DX | DPO73304DX,MSO73304DX | |
|---|---|---|---|---|---|---|---|
| Analog channels | 4 | 4 | 4 | 4 | 4 | 4 | 4 |
| Digital channels (MSO70000DX Series only) | 16 | 16 | 16 | 16 | 16 | 16 | 16 |
| Analog bandwidth (user-selectable DSP enhance) (–3 dB) | 8 GHz | 12.5 GHz | 16 GHz | 20 GHz | 23 GHz (2 Ch) 23 GHz (4 Ch) | 25 GHz (2 Ch) 23 GHz (4 Ch) | 33 GHz (2 Ch) 23 GHz (4 Ch) |
| Hardware Analog Bandwidth (-3 dB) | 8 GHz (typical) | 12.5 GHz | 16 GHz | 20 GHz | 23GHz | 25 GHz | 33 GHz |
| Rise time (typical) | 10% to 90%: 52 ps 20% to 80%: 38 ps | 10% to 90%: 32 ps 20% to 80%: 23 ps | 10% to 90%: 26 ps 20% to 80%: 19 ps | 10% to 90%: 22 ps 20% to 80%: 15 ps | 10% to 90%: 17 ps 20% to 80%: 13 ps | 10% to 90%: 16 ps 20% to 80%: 12 ps | 10% to 90%: 13 ps 20% to 80%: 9 ps |
| Sample rate (1, 2 ch) (maximum sample rate is 50 GS/s on digital channels routed to an analog channel through the iCapture™ analog mux) | 100 GS/s | 100 GS/s | 100 GS/s | 100 GS/s | 100 GS/s | 100 GS/s | 100 GS/s |
| Sample rate (3, 4 ch) | 50 GS/s | 50 GS/s | 50 GS/s | 50 GS/s | 50 GS/s | 50 GS/s | 50 GS/s |
| Sample rate (ET/IT mode) | 10 TS/s | 10 TS/s | 10 TS/s | 10 TS/s | 10 TS/s | 10 TS/s | 10 TS/s |
| Record length (each channel, standard) | 62.5 M | 62.5 M | 62.5 M | 62.5 M | 62.5 M | 62.5 M | 62.5 M |
| Record length (each channel, Opt. 10XL) | 125 M | 125 M | 125 M | 125 M | 125 M | 125 M | 125 M |
| Record length (each channel, Opt. 20XL) | 250 M | 250 M | 250 M | 250 M | 250 M | 250 M | 250 M |
| Record length (each channel, Opt. 50XL) | 500 M each channel, 1 G on 2 channels | 500 M each channel, 1 G on 2 channels | 500 M each channel, 1 G on 2 channels | 500 M each channel, 1 G on 2 channels | 500 M each channel, 1 G on 2 channels | 500 M each channel, 1 G on 2 channels | 500 M each channel, 1 G on 2 channels |
| Timing resolution | 10 ps (100 GS/s) | 10 ps (100 GS/s) | 10 ps (100 GS/s) | 10 ps (100 GS/s) | 10 ps (100 GS/s) | 10 ps (100 GS/s) | 10 ps (100 GS/s) |
| Duration at highest sample rate (standard) | 0.63 ms | 0.63 ms | 0.63 ms | 0.63 ms | 0.63 ms | 0.63 ms | 0.63 ms |
| Duration at highest sample rate (Opt. 10XL) | 1.3 ms | 1.3 ms | 1.3 ms | 1.3 ms | 1.3 ms | 1.3 ms | 1.3 ms |
| Duration at highest sample rate (Opt. 20XL) | 2.5 ms | 2.5 ms | 2.5 ms | 2.5 ms | 2.5 ms | 2.5 ms | 2.5 ms |
| Duration at highest sample rate (Opt. 50XL) | 10 ms | 10 ms | 10 ms | 10 ms | 10 ms | 10 ms | 10 ms |
| Vertical noise (% of full scale) (50 mV/div, bandwidth filter on, max sample rate) (typical) | 0.32% | 0.42% | 0.47% | 0.56% | 0.53% | 0.67% | 0.71% |
| Time base range (Auto mode) | 10 ps/div to 1000 s/div | 10 ps/div to 1000 s/div | 10 ps/div to 1000 s/div | 10 ps/div to 1000 s/div | 10 ps/div to 1000 s/div | 10 ps/div to 1000 s/div | 10 ps/div to 1000 s/div |
| Timing resolution (ET/IT mode) | 100 fs | 100 fs | 100 fs | 100 fs | 100 fs | 100 fs | 100 fs |
| Delta time measurement accuracy (RMS over <100 ns Duration; Single Shot; Signal Rise Time = 1.2 × Scope Rise Time; 100 mV/div, bandwidth filter on, max sample rate) | 1.17 ps | 861 fs | 727 fs | 658 fs | 585 fs | 604 fs | 529 fs |
Vertical system – Analog channels
- Bandwidth limit
Depending on instrument model: 33 GHz to 1 GHz in 1 GHz steps, or 500 MHz
Depending on instrument model, hardware-only bandwidth settings at 33, 25, 23, 20, 16, 12.5, 8 GHz
- Channel-to-Channel isolation
Any two channels at equal vertical scale
0 GHz to 10 GHz: ≥120:1
>10 GHz to 12 GHz: ≥80:1
>12 GHz to 15 GHz: ≥50:1
>15 GHz to 20 GHz: ≥25:1
>20 GHz to 33 GHz: ≥20:1
- DC gain accuracy
- ±2% (of reading)
- Channel delay (typical)
≤1 ps for any two channels at equal V/div and coupling
- Signal-to-Noise ratio (typical)
- 34 dB
- Input coupling
- DC (50 Ω), GND
- Input resistance selection
- 50 Ω ±3%, 1 MΩ with TCA-1MEG adapter
- Input sensitivity range
- 6.25 mV/div to 600 mV/div (62.5 mV to 6 V full scale)
- Maximum input voltage, 50 Ω
- Also determined by TekConnect® accessory.
- ≤1.2 VFS: ±1.5 V relative to the termination bias (30 mA maximum), ±5 V absolute maximum input.
- >1.2 VFS: 8.0 V.
- Termination voltage range
- ≤1.2 VFS: -3.5 V to +3.5 V
>1.2 VFS: 0 V.
- Offset accuracy
- 10 mV/div to 99.5 mV/div
- ±(0.35% (offset value-position) + 1.5 mV + 1% of full scale)
- 100 mV/div to 500 mV/div
- ±(0.35% (offset value-position) + 7.5 mV + 1% of full scale)
- Offset range
- +3.4 V to ‒3.4 V
- Passband flatness (20, 50, 100, 250 mV/div) (typical)
- ±0.5 dB to 50% of nominal bandwidth
- Position range
- ±5 div
- Vertical resolution
- 8 bit (11 bit with averaging)
Vertical system – Digital channels
- Digital bandwidth
- With P6780 logic probe
- 2.5 GHz
- With P6750 or P6717A logic probe
- 1 GHz
- Input resistance selection
- With P6780 logic probe
- 20 kΩ to ground per side or 40 kΩ differential mode ± 2.0%, 0.5 pF
- With P6750 or P6717A logic probe
- 20 kΩ ± 1.0%, 3 pF
- Trigger clock/qualifier input
- 1
- Vertical resolution
- 1 bit
- Thresholds
- One per channel, independently set
- Threshold accuracy
- ±75 mV + 3% of threshold setting
- Threshold resolution
- 5 mV
- Threshold voltage range
- With P6780 logic probe
- –2 to +4.5 V
- With P6750 or P6717A logic probe
- –1.5 to +4.0 V
- Minimum voltage swing
- 300 mVp-p
- Maximum input voltage
- ±15 V nondestruct
Horizontal system
- Channel-to-Channel deskew range
- ±75 ns
- Time base accuracy
- ±1.5 ppm initial accuracy, aging <1 ppm per year
- Time base delay time range
- –5.0 ks to 1.0 ks
- Time/Div settings
- 10ps/div to 1000S/div
- Timing jitter (aperture uncertainty) (typical)
- <10 μs duration: <250 fsRMS
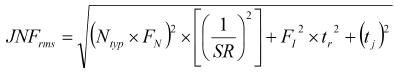
- Jitter noise floor (typical)
- NTYP = typical input-referred noise spec (volts rms)RMS
- FN = 1.3 for instrument bandwidth ≤ 9GHz; 1.5 for instrument bandwidth ≥ 10GHz.
- SR = slew rate around the measurement
- FI = 1.7 x 10-2/sqrt(2) = 1.2 x 10-2
- tr = rise time of the measurement edge
- tj = timebase jitter or aperture uncertainty

- The interpolated sample rate of the waveform must be at least 25 times the bandwidth of the signal being measured.
- Trigger jitter
- <100 fsRMS (1.3 psRMS [typical] with enhanced triggering off)
Acquisition system - Analog channels
- Acquisition modes
- Sample
- Acquires and displays sampled values
- Average
- From 2 to 10,000 waveforms can be included in an average waveform
- Envelope
- From 1 to 2×109 waveforms included in min-max envelope
- Hi-Res
- Real-time boxcar averaging reduces random noise and increases resolution
- Peak detect
- Capture and display narrow glitches at all real-time sampling rates. Glitch widths: 1 ns at ≤125 MS/s; 1/sample rate at ≥250 MS/s
- FastAcq®
- FastAcq® optimizes the instrument for analysis of dynamic signals and capture of infrequent events, capturing >300,000 wfms/s on all TekConnect channels simultaneously, standalone configuration only
- FastFrame™
- Acquisition memory divided into segments; maximum trigger rate >310,000 waveforms per second. Time of arrival recorded with each event. Frame finder tool helps to visually identify transients. TekConnect channels only, standalone configuration only
- Roll mode
- Scrolls sequential waveform points across the display in a right-to-left rolling motion. Works at sample rates up to 10 MS/s with a maximum record length of 40 MS. TekConnect channels only, standalone configuration only
- Waveform database
- Accumulates waveform data providing a three-dimensional array of amplitude, time, and counts. TekConnect channels only, standalone configuration only
Acquisition system – Digital channels
- Maximum sample rate (all channels)
- 12.5 GS/s
- Timing resolution
- 80 ps
- Channel-to-Channel timing uncertainty
- <160 ps
- Minimum detectable pulse width
- <400 ps
- Maximum number of buses
- 16
- Number of channels per bus
- Up to 24 (16 logic, 4 analog, 4 math)
Pinpoint® trigger system
- Trigger sensitivity
- Internal DC coupled
4% of full scale from DC to 50 MHz
10% of full scale at 4 GHz
20% of full scale at 8 GHz
50% of full scale at 11 GHz
- Aux input 50 Ω (external trigger)
- 250 mV from DC to 50 MHz, increasing to 350 mV at 1.0 GHz
- A event and delayed B event trigger types
- Edge, glitch, width, runt, timeout, transition time, logic pattern, logic state, setup/hold, window - all except edge, pattern, and state can be logic state qualified by up to two channels
- Main trigger modes
- Auto, Normal, and Single
- Trigger sequences
- Main, Delayed by Time, Delayed by Events, Reset by Time, Reset by State, Reset by Transition. All sequences can include a separate horizontal delay after the trigger event to position the acquisition window in time
- Trigger coupling
DC, AC (attenuates <100 Hz)
HF Rej (attenuates >20 kHz)
LF Rej (attenuates <200 kHz)
Noise Reject (reduces sensitivity)
RF coupling (increases trigger sensitivity and bandwidth at the highest operating frequencies)
- Trigger holdoff range
- 250 ns min to 12 s max
- Trigger level range
- Any channel
- ±120% of full scale from center of screen
- Auxiliary input
- ±5 V
- Line
- 0 V, not settable
- Clock recovery system
- Requires Option ST6G or Option MTH
- Clock recovery phase locked loop bandwidth
- Fixed at FBaud/1600
- Clock recovery jitter (RMS)
<0.25% bit period + 2 psRMS for PRBS data patterns
<0.25% bit period + 1.5 psRMS for repeating "0011” data pattern
- Minimum signal amplitude needed for clock recovery
1 divp-p up to 1.25 Gbaud
1.5 divp-p above 1.25 Gbaud
- Tracking/Acquisition range
- ±2% of requested baud
- Clock recovery frequency range
- 1.5 MBaud to 3.125 GBaud. Recovered clock and regenerated data available for use with a BERT.
- Serial pattern trigger
- Requires Option ST6G
- NRZ-Encoded Data
Up to 64 bit serial word recognizer, bits specified in binary (high, low, don't care) or hex format
Trigger on NRZ-encoded data up to 1.25 GBaud
- 8b/10b-Encoded Data
Trigger on 8b/10b-encoded data at the following rates: 1.25 to 1.65, 2.1 to 3.2, 3.8 to 5.1, and 5.4 to 6.25 GBaud.
Pattern length up to 40 bits (1 to 4 valid 10-bit characters)
Alignment character is K28.5 (either disparity)
- Communications-related triggers
Support for AMI, HDB3, BnZS, CMI, MLT3, and NRZ encoded communications signals. Select among isolated positive or negative one, zero pulse form, or eye patterns as applicable to the standard.
- Requires Option MTH
- Bus triggers maximum toggle rate
I2C, SPI, RS-232/422/485/UART: 10 Mb/s
USB: low-speed, full-speed
CAN: 1 Mb/s
LIN: 100 kb/s
MIL-STD-1553B: 2 Mb/s
- Logic pattern trigger (MSO Models)
- Threshold range
P6780: –2 to +4.5 V
P6717A/P6750: –1.5 to +4 V
- Threshold accuracy
- ±100 mV + 3% of threshold setting
- Enhanced triggering
Enhanced triggering corrects the difference in timing between the trigger path and the acquired data path (supports all Pinpoint trigger types on both A- and B-Events except pattern trigger); Default On (user-selectable); Not available in FastAcq mode.
- Line trigger
- Trigger on power line signal. Level fixed at 0 V.
- Visual Trigger
- Requires Option VET
- Max number of areas
- 8
- Area shapes
- Rectangle, Triangle, Trapezoid, Hexagon, user defined shapes (can have >40 vertices)
- Compatibility
- Visual Trigger qualification is compatible with all trigger types and all trigger sequences
- Trigger Types
Trigger Analog Channels MSO Logic Channels Description Comm 1 X Support for AMI, HDB3, BnZS, CMI, MLT3, and NRZ encoded signals. Bus X X Trigger on a parallel or serial bus when the specific bus value is found. I2C 1 X X Trigger on Start, Repeated Start, Stop, Missing ACK, Address (7 or 10 bit), Data, or Address and Data. SPI 1 X X Trigger on SS or data. CAN 2 X X Trigger on Start of Frame, Frame Type, Identifier, Data, End of Frame, Missing Ack, Bit Stuff Error. LIN 1 X X Trigger on Sync, Identifier, Data, Ident and Data, Wakeup Frame, Sleep Frame, Error. FlexRay 1 X X Trigger on Start of Frame, Indicator Bits, Cycle Count, Header Fields, Identifier, Data, End of Frame, Error. RS-232/422/485/UART 1 X X Trigger on Start Bit, End of Packet, Data, and Parity Error. USB 1 X X Low-speed or Full-speed: Trigger on Sync, Reset, Suspend, Resume, End of Packet, Token (Address) Packet, Data Packet, Handshake Packet, Special Packet, Error. MIL-STD-1553B1 X X Trigger on Sync, Command Word, Status Word, Data, RT/IMG Time, Error. PCI Express 1 X X Trigger on Patterns (including ordered sets), Character/Symbol, Error, Control Characters (gen 1 and gen 2 rates only) Edge X X Positive or negative slope on any channel or front-panel auxiliary input. Coupling includes DC, AC, noise reject, HF reject, and LF reject. B Event Scan X B Event Scan is an A to B trigger sequence that will trigger and capture burst event data of interest as defined in the B Event Scan setup menu. Captured bits can be scanned in a sequential or randomized fashion, and alternatively the trigger can toggle between two successive B trigger events. Eye diagrams can be constructed with burst data acquired as a result of scanning B Event. Glitch X X Trigger on or reject glitches of positive, negative, or either polarity. Minimum glitch width is 150 ps (typical) with rearm time of 300 ps. Pattern X X Trigger when pattern goes false or stays true for specified period of time. Pattern (AND, OR, NAND, NOR) specified for four input channels (and 16 logic channels on the MSO70000 Series) defined as high, low, or don't care. Runt X Trigger on a pulse that crosses one threshold but fails to cross a second threshold before crossing the first again. Event can be time- or logic-qualified. Serial Pattern 1 X Trigger on NRZ-encoded data up to 6.25 Gbaud; above 1.25 Gbaud requires 8b/10b encoded data. Includes pattern lock triggering to capture repeated acquisitions of long serial test patterns up to 6.25 Gb/s. Setup/Hold X Trigger on violations of both setup time and hold time between clock and data present on any two input channels. State X X Any logical pattern of channels (1, 2, 3) (and 16 logic channels on the MSO70000 Series) clocked by edge on channel 4. Trigger on rising or falling clock edge. Timeout X X Trigger on an event which remains high, low, or either, for a specified time period. Selectable from 300 ps. Transition X Trigger on pulse edge rates that are faster or slower than specified. Slope may be positive, negative, or either. Trigger Delay by Events X X 1 to 2 billion events. Trigger Delay by Time X X 3.2 ns to 3 million seconds. Visual Trigger1 X Trigger when the Visual Trigger expression is satisfied. Width X X Trigger on width of positive or negative pulse either within or out of selectable time limits (down to 150 ps). Window X Trigger on an event that enters or exits a window defined by two user-adjustable thresholds. Event can be time or logic qualified.
Waveform analysis
- Search and Mark Events
Search for edges, glitches, or pulses of specified width. Any events found matching the search criteria are marked and placed in the Event table. The search can use positive/negative slopes or both on any channels.
When an event of interest is found, other similar events can be found using "Mark All Trigger Events in Record" in the Pinpoint trigger control windows.
The Event table summarizes all found events. All events are time stamped in reference to trigger position. Users can choose to stop acquisitions when an event is found.
- Waveform measurements
- Automatic measurements
53, of which 8 can be displayed on-screen at any one time; measurement statistics, user-definable reference levels, measurement within gates isolating the specific occurrence within an acquisition to measure
The DPOJET Jitter and Eye Analysis application offers additional automated and advanced measurements such as jitter.
- Amplitude related
Amplitude, High, Low, Maximum, Minimum, Peak-to-Peak, Mean, Cycle Mean, RMS, Cycle RMS, Positive Overshoot, Negative Overshoot
- Time related
Rise Time, Fall Time, Positive Width, Negative Width, Positive Duty Cycle, Negative Duty Cycle, Period, Frequency, Delay
- Combination
- Area, Cycle Area, Phase, Burst Width
- Histogram related
Waveform Count, Hits in Box, Peak Hits, Median, Maximum, Minimum, Peak-to-Peak, Mean (μ), Standard Deviation (sigma), μ +1sigma, μ +2sigma, μ +3sigma
- Bus decoding
- Parallel
Data from selected channels is grouped as a parallel, multichannel bus and displayed as a single bus value. Display can be binary, hexadecimal, or symbolic formats
- I2C 1
- SCLK and SDA channels are displayed as a bus per the Inter-Integrated Circuit specification
- SPI 1
MOSI, MISO, SCLK, and SS channels are displayed as a bus per the Serial Peripheral Interface specification
- CAN 1
CAN_H, CAN_L, TX, or RX channels are displayed as a bus
- LIN 1
Data is displayed as a bus in accordance with the LIN Version 1 or Version 2 standards
- FlexRay 1
- BP, BM, TX, or RX signals are displayed as a bus
- HSIC 1
Data is displayed as a bus according to the USB2.0 HSIC standard
- RS-232/422/485/UART 1
- Channel is displayed as a bus
- USB 1
- Channels are displayed as a bus per the USB specification
- MIL-STD-1553B 1
Data is displayed as a bus
- PCI Express 1
Gen 1, 2, 3, or 4 data rates are automatically detected and displayed as a bus in accordance with the PCIe standard
- MIPI® D-PHY 1
- DSI or CSI2 channels are displayed as a bus per the MIPI standard
- 8b/10b Encoded1
- Control and data characters are displayed as a bus
- Waveform processing/math
- Algebraic expressions
Define extensive algebraic expressions including Waveforms, Scalars, User-adjustable Variables, and Results of Parametric Measurements e.g. (Integral (CH1 ‒ Mean(CH1)) × 1.414 × VAR1)
- Arithmetic
- Add, Subtract, Multiply, Divide Waveforms and Scalars
- Filtering function
User-definable filters. Users specify a file containing the coefficients of the filter. Several example filter files are provided
- Frequency domain functions
- Spectral Magnitude and Phase, Real and Imaginary Spectra
- Mask function
Generates a Waveform Database pixel map from a sample waveform. Sample count can be defined
- Math functions
Average, Invert, Integrate, Differentiate, Square Root, Exponential, Log 10, Log e, Abs, Ceiling, Floor, Min, Max, Sin, Cos, Tan, ASin, ACos, ATan, Sinh, Cosh, Tanh
- Relational
- Boolean result of comparison >, <, ≥, ≤, ==, !=
- Vertical units
- Magnitude: Linear, dB, dBm Phase: Degrees, radians, group delay IRE and mV units
- Window functions
Rectangular, Hamming, Hanning, Kaiser-Bessel, Blackman-Harris, Gaussian, Flattop2, Tek Exponential
- Customized Functions using Math Plug-in Interface
An interface is provided to allow users to create their own custom math functions in MATLAB or Visual Studio
Display system
- Color palettes
- Normal, Green, Gray, Temperature, Spectral, and User-defined
- Format
- YT, XY, XYZ
- Display resolution
- 1024 horizontal × 768 vertical pixels (XGA)
- Display type
- 307.3 mm (12.1 in.) liquid-crystal active-matrix color display
- Horizontal divisions
- 10
- Vertical divisions
- 10
- Waveform styles
- Vectors, Dots, Variable Persistence, Infinite Persistence
Computer system and peripherals
- Operating system
- Microsoft Windows 10 Enterprise IoT Edition
- CPU
- Intel i7-7700 processor, quad core, 4.2 GHz
- System memory
- 16 GB
- Solid state drive
- Removable, 512 GB capacity
Input/Output ports
- Auxiliary input
- Front panel. See trigger specifications
- Auxiliary output
- Rear panel. BNC connector, 0 to 3 V; default output is A-Event Trigger low true
- Probe calibration output
- Front panel. BNC connector, ±10 V DC for DC probe calibration (signal available only during probe calibration)
- Fast edge output
- Front panel. SMA connector provides fast edge signal. 1 kHz ±20%; 810 mV (base to top) ±20% into ≥10 kΩ load; 440 mV ±20% into a 50 Ω load
- Recovered clock output
- Front panel. SMA connector, ≤1.25 Gb/s, Output swing ≥130 mVp-p into 50 Ω at 1.25 Gb/s. Requires Option ST6G or Option MTH to enable
- Recovered data output
- Front panel. SMA connector, ≤1.25 Gb/s, Output swing of 1010 repeating pattern 200 mV into 50 Ω at 1.25 Gb/s. Requires Option ST6G or Option MTH to enable
- USB interface
Front panel: Two USB 2.0 ports. Allows connection of USB keyboard, mouse, or storage device
Rear panel: Four USB ports, two are USB 3.0. Allows connection of USB keyboard, mouse, or storage devices
- LXI web interface (LAN eXtensions for instrumentation)
- Class: LXI Class C
- Version: 1.3
- Audio input/output
- Rear panel. Miniature phone jacks for stereo microphone input and stereo line output
- External time base reference in
- Rear panel. BNC connector; allows time base system to phase lock to external 10/100 MHz reference. Optimized (by using a software switch) for either a highly stable clock or tracking mode
- GPIB interface
- Rear panel. IEEE 488.2 standard
- Keyboard port
- Rear panel. PS/2 compatible
- LAN port
- Rear panel. RJ-45 connector, supports 10BASE-T, 100BASE-T, and 1000BASE-T
- Mouse port
- Rear panel. PS/2 compatible
- eSATA port
- Rear panel. External SATA interface for eSATA storage devices
- Power
- 100 to 240 VRMS, ±10%, 50/60 Hz; 115 VRMS ±10%, <870 W, 400 Hz; CAT II, <1100 VA typical
- Video out port
Connect to show the oscilloscope display, including live waveforms on an external monitor or projector. The primary Windows® desktop can also be displayed on an external monitor using these ports.
Alternatively, the ports can be configured to show the secondary Windows® desktop (also called extended desktop or dual-monitor display)
Both VGA and DVI-D connectors.
- Serial port
- Rear panel. Two DB-9 COM ports
- Time base reference out
- BNC connector; provides TTL-compatible output of internal 10 MHz reference oscillator
Physical characteristics
- Dimensions
mm in. Height 298 11.74 Width 451 17.75 Depth 489.97 19.29
- Rackmount dimensions
mm in. Height 311 12.25 Width 480.1 18.9 Depth (from rack mounting ear to back of instrument) 546.1 21.5
- Weight
kg lb. Net 24 53 Shipping 34 67
- Rackmount weight
kg lb. Net 22 59 Kit 2.7 6
- Cooling – Required clearance
mm in. Top 0 0 Bottom 0 0 Left Side 76 3 Right Side 76 3 Front 0 0 Rear 0 0
Environmental
- Temperature
- Operating
- 5 °C to +45 °C
- Nonoperating
- –20 °C to +60 °C
- Humidity
- Operating
- 8% to 80% relative humidity (RH) at up to 32 °C
- Above +32 °C up to +45 °C; as limited by a 29.4 °C wet bulb temperature
- Nonoperating
- 5% to 95% relative humidity (RH)
- Above +32 °C up to +60 °C; as limited by a 29.4 °C wet bulb temperature
- Altitude
- Operating
- 3,000 m (9,843 ft.)
- Nonoperating
- 12,000 m (39,370 ft.)
- Regulatory
- Electromagnetic compatibility
- 2004/108/EC; EN 61326-2-1:2006
- Certifications
- UL 61010-1, CSA 61010-1-04, LVD 2006/95/EC, EN61010-1, IEC 61010-1
Ordering information
MSO/DPO70000DX models
- MSO70804DX
- 8 GHz Mixed Signal Oscilloscope
- MSO71254DX
- 12.5 GHz Mixed Signal Oscilloscope
- MSO71604DX
- 16 GHz Mixed Signal Oscilloscope
- MSO72004DX
- 20 GHz Mixed Signal Oscilloscope
- MSO72304DX
- 23 GHz Mixed Signal Oscilloscope
- MSO72504DX
- 25 GHz Mixed Signal Oscilloscope
- MSO73304DX
- 33 GHz Mixed Signal Oscilloscope
- DPO70804DX
- 8 GHz Digital Phosphor Oscilloscope
- DPO71254DX
- 12.5 GHz Digital Phosphor Oscilloscope
- DPO71604DX
- 16 GHz Digital Phosphor Oscilloscope
- DPO72004DX
- 20 GHz Digital Phosphor Oscilloscope
- DPO72304DX
- 23 GHz Digital Phosphor Oscilloscope
- DPO72504DX
- 25 GHz Digital Phosphor Oscilloscope
- DPO73304DX
- 33 GHz Digital Phosphor Oscilloscope
Standard accessories
Accessories
- 071-2980-xx
- User Manual (please specify language when ordering)
- TCA-292D (4 included)
- TekConnect® to 2.92 mm Adapter
- TCA-BNC
- TekConnect® to BNC Adapter
- 016-1441-02
- Accessory Pouch
- 200-4963-01
- Front Cover
- —
- Power Cord (please specify power plug option when ordering)
- 006-3415-05
- Static Protection Wrist Strap
- —
- GPIB Programmer's Reference (on product SSD)
- —
- Performance Verification Procedure PDF File
- —
- Calibration Certificate Documenting NIST Traceability
- —
- Z 540-1 Compliance and ISO9001
- P6717A
- P6717A General Purpose Logic Probe (MSO models)
- 067-2298-00
- Logic Probe Deskew Fixture (MSO models)
Instrument options, upgrades, and floating licenses
The following instrument options, upgrades, and floating licenses are available as indicated.
- Instrument: An "Instrument" option is an option available at the time of purchase. When ordering an option for a new instrument the option is prefaced by the model number. For example, DPO73304DX DJA.
- Upgrade: An "Upgrade" is an option available to an existing instrument. When ordering an option as an upgrade the option is prefaced by DPO-UP. For example, DPO-UP DJA.
- Floating license: Floating licenses offer an alternative method to manage your Tektronix asset. Floating licenses allow license-key enabled options to be easily moved among all your DPO70000SX or MSO/DPO70000DX Series oscilloscopes. When ordering a floating license, the license is prefaced by DPOFL. For example, DPOFL-DJA. Check www.tek.com/products/oscilloscopes/floating-licenses for additional information about floating license options.
Record Length options, upgrades, and floating licenses
The following Record Length options, upgrades, and floating licenses are available. An "X" indicates the item is available. A "-" indicates the item is not available.
| Option | Description | Instrument | Upgrade | Floating license |
|---|---|---|---|---|
| 10XL | Extended record length: 125 M/Ch | X | - | - |
| 20XL | Extended record length: 250 M/Ch | X | - | - |
| 50XL | Extended record length: 1 G/Ch (2 Channels) 500 M/Ch (4 Channels) | X | - | - |
| XL02 | Extended record length: Upgrade from standard to 2XL (31.25 M/Ch) | - | - | X |
| XL05 | Extended record length: Upgrade from standard to 5XL (62.5 M/Ch) | - | X | X |
| XL010 | Extended record length: Upgrade from standard to 10XL (125 M/Ch) | - | X | X |
| XL020 | Extended record length: Upgrade from standard to 20XL (250 M/Ch) | - | X | X |
| XL050 | Extended record length: Upgrade from standard to 50XL (1G/Ch (2 Channels) 500M/Ch (4 Channels)) | - | - | X |
| XL25 | Extended record length: Upgrade from 2XL (31.25M/Ch) to 5XL (62.5M/Ch) | - | X | - |
| XL210 | Extended record length: Upgrade from 2XL (31.25M/Ch) to 10XL (125M/Ch) | - | X | - |
| XL220 | Extended record length: Upgrade from 2XL (31.25M/Ch) to 20XL (250M/Ch) | - | X | - |
| XL250 | Extended record length: Upgrade from 2XL (31.25M/Ch) to 50XL (1G/Ch (2 Channels) 500M/Ch (4 Channels)) | - | X | - |
| XL510 | Extended record length: Upgrade from 5XL (62.5 M/Ch) to 10XL (125 M/Ch) | - | X | - |
| XL520 | Extended record length: Upgrade from 5XL (62.5 M/Ch) to 20XL (250 M/Ch) | - | X | - |
| XL550 | Extended record length: Upgrade from 5XL (62.5 M/Ch) to 50XL (1 G/Ch (2 Channels) 500 M/Ch (4 Channels)) | - | X | - |
| XL1020 | Extended record length: Upgrade from 10XL (125 M/Ch) to 20XL (250 M/Ch) | - | X | - |
| XL1050 | Extended record length: Upgrade from 10XL (125 M/Ch) to 50XL (1 G/Ch (2 Channels) 500 M/Ch (4 Channels)) | - | X | - |
| XL2050 | Extended record length: Upgrade from 20XL (250 M/Ch) to 50XL (1 G/Ch (2 Channels) 500 M/Ch (4 Channels)) | - | X | - |
Storage options and upgrades
The following Storage options and upgrades are available. An "X" indicates the item is available. A "-" indicates the item is not available.
| Option | Description | Instrument | Upgrade |
|---|---|---|---|
| SSD | Solid State Drive Assembly: Additional customer-installable removable drive with Microsoft Windows 10 OS, TekScope and applications software installed | X | - |
Trigger and Decode options, upgrades, and floating licenses
The following Trigger and Decode options, upgrades, and floating licenses are available. An "X" indicates the item is available. A "-" indicates the item is not available.
| Option | Description | Instrument | Upgrade | Floating license |
|---|---|---|---|---|
| SR-810B | 8b/10b Serial Triggering and Analysis | X | X | X |
| SR-AERO | Aerospace Serial Triggering and Analysis (MIL-STD-1553) | X | X | X |
| SR-AUTO | Automotive Serial Triggering and Analysis (CAN/LIN/FlexRay) | X | X | X |
| SR-COMP | Computer Serial Triggering & Analysis (RS232/422/485/UART) | X | X | X |
| SR-CUST | Custom Serial Analysis Kit for Developers | X | X | X |
| SR-DPHY | MIPI D-PHY (DSI1 / CSI2) Serial Analysis | X | X | X |
| SR-EMBD | Embedded Serial Triggering and Analysis (I2C, SPI) | X | X | X |
| SR-ENET | Ethernet Serial Analysis (10BASE-T and 100BASE-TX) | X | X | X |
| SR-PCIE | PCI Express Serial Triggering (Gen 1, 2) and Analysis (Gen 1, 2, 3, and 4) | X | X | X |
| SR-USB | USB Serial Triggering and Analysis | X | X | X |
| SSIC | SSIC Protocol Decoder | X | - | X |
| ST6G | High-Speed Serial Trigger and Decode up to 6.25 Gb/s. Supports NRZ patterns and 8b10b serial buses. (Includes Opt. SR-810B) | X | X | X |
| VET | Visual Trigger and Search | X | X | X |
Advanced Analysis options, upgrades, and floating licenses
The following Advanced Analysis options, upgrades, and floating licenses are available. An "X" indicates the item is available. A "-" indicates the item is not available.
| Option | Description | Instrument | Upgrade | Floating license |
|---|---|---|---|---|
| 100G-TXE | TekExpress 100G-TXE - 100Gbps TX Compliance Solution and DPOJET: CAUI4-TX, KR4-TX & CR4-TX | X | X | X |
| 10G-KR | TekExpress 10G-KR - 10G-KR Compliance Solution and DPOJET: 10G-KR measurements plug-in. (Requires Opt. DJA) | X | X | X |
| 400G-TXE | TekExpress 400G-TXE - 400G Electrical Tx Compliance Solution & DPOJET: CAUI4-TX measurements plug-in. Supports IEEE-802.3bs/cd: 400GAUI/200G-KR/CR & OIF-CEI (VSR/MR/LR). (Requires Opt. DJA, DJAN, PAM4, SDLA64) | X | X | X |
| 40G-CR4 | TekExpress 40G-CR4 - 40GBase-CR4 Compliance Solution and DPOJET: 40GBase-CR4 measurements plug-in. Suports IEEE 802.3-2012: Section 85. (Requires Opt. DJA) | X | X | X |
| ASM | Advanced Event Search And Mark | - | X | X |
| AUTOEN10 | TekExpress Automotive Ethernet - 10BASE-T1S Compliance Solution | X | X | X |
| AUTOEN10G | TekExpress Automotive Ethernet - MultiGBASE-T1 Compliance Solution (Requires Opt. DJA) | X | X | X |
| BRR | TekExpress Automotive Ethernet - 100BASE-T1: 1000BASE-T1 Compliance Solution | X | X | X |
| CIO | DPOJET: CIO Tx/Rx Measurement Plugin. Supports DP2.0, TBT3, USB4 (Requires Opt. DJA) | X | X | X |
| CMENET3 | TekExpress Ethernet - 10/100/1000 BASE-T Compliance Solution | X | X | X |
| CMENET3A | TekExpress Ethernet - 10/100/1000 BASE-T Compliance Solution (Requires Opt. ET3) | - | X | X |
| CPHY20 | TekExpress MIPI C-PHY 2.0 Tx Compliance Solution (Requires DJA) | X | X | X |
| DDR-LP4 | DPOJET: LPDDR4 Tx Electrical Validation Solution (Requires Opt. DJA, DDRA) | X | X | X |
| DDR5SYS | TekExpress DDR Tx - DDR5 System Level Tx Compliance/Debug Automation Solution. (Requires Opt. DJA, SDLA64, VET) | X | X | X |
| DDRA | DPOJET: DDR Tx Electrical Validation Solution - Supports DDR, DDR2, DDR3, DDR3L, DDR4, LPDDR, LPDDR2, LPDDR3, GDDR3, GDDR5 (Requires Opt. DJA) | X | X | X |
| DJA | DPOJET Jitter and Eye Analysis Tools - Advanced | X | - | X |
| DJAH | DPOJET Jitter and Eye Analysis Tools - Advanced (for 70k Series <12 GHz) | - | X | - |
| DJAU | DPOJET Jitter and Eye Analysis Tools - Advanced (for 70k Series >12 GHz) | - | X | - |
| DJAN | DPOJET Jitter and Eye Analysis Tools - Noise (Requires Opt. DJA) | X | X | X |
| DP12 | TekExpress DisplayPort - DisplayPort 1.2 Tx Compliance Solution (Requires Opt. DJA) | X | X | X |
| DP14 | TekExpress DisplayPort - DisplayPort 1.4 Tx Compliance Solution (Requires Opt. DJA, SDLA, DP12) | X | X | X |
| DP20 | TekExpress DisplayPort 2.0 Tx Compliance/Debug Solution (Requires Opt. CIO, DJA, SDLA) | X | X | X |
| DPHY12 | TekExpress MIPI D-PHY 1.2 Tx Compliance Solution (Requires Opt. DJA) | X | X | X |
| DPHY21 | TekExpress MIPI D-PHY 2.1 Tx Compliance Solution (Requires Opt. DJA) | X | X | X |
| EARC21RX | HDMI 2.1 eARC Advanced Analysis and Compliance software for Rx tests | X | X | - |
| EARC21TX | HDMI 2.1 eARC Advanced Analysis and Compliance software for Tx tests | X | X | - |
| EDP | DPOJET: Embedded DisplayPort 1.2 Tx Measurement Plugin (Requires opt. DJA) | X | X | X |
| EDP14 | DPOJET: Embedded DisplayPort 1.4 Tx Measurement Plugin (Requires opt. DJA) | X | X | X |
| ERRDT | Frame and Bit Error Rate Detector for High Speed Serial Standards (Requires Opt. ST6G) | X | - | X |
| ERRDTH | Frame and Bit Error Rate Detector for High Speed Serial Standards for 70k Series <12 GHz (Requires Opt. ST6G) | - | X | - |
| ERRDTU | Frame and Bit Error Rate Detector for High Speed Serial Standards for 70k Series >12 GHz (Requires Opt. ST6G) | - | X | - |
| HD21DS | TekExpress HDMI 2.1 Rx Compliance Solution (Requires Opt. HD21) | X | X | X |
| HD21DSM | TekExpress HDMI 2.1 Rx Electrical and Protocol Compliance Pattern Generation and Calibration Solution (Requires Opt. HD21DS) | X | X | X |
| HDM | TekExpress HDMI 2.0 Tx Compliance Solution (Requires Opt. DJA) | X | X | X |
| HDM-DS | TekExpress HDMI 2.0 Rx Compliance Solution. Includes Rx tests for HDMI 1.4 using AWG70k. (Requires Opt. HDM) | X | X | X |
| HD-DSM | TekExpress HDMI 2.0 Rx Electrical and Protocol Compliance Pattern Generation and Calibration Solution (Requires Opt. HDM-DS) | X | X | X |
| HSIC | DPOJET: HSIC Tx Measurement Plugin: and Scope-Based Protocol Decode (Requires Opt. DJA, SR-CUST) | X | X | X |
| HT3 | TDSHT3 - HDMI 1.4 Compliance Test Software | X | X | X |
| HT3DS | TDSHT3 - HDMI 1.4 Compliance Test Software Rx option (Requires Opt. HT3) | X | X | X |
| LPDDR5SYS | TekExpress DDR Tx - LPDDR5 System Level Tx Compliance/Debug Automation Solution. (Requires Opt. DJA, SDLA64, VET) | X | X | X |
| LT | Waveform Limit Testing | X | X | X |
| LVDSTX | TekExpress LVDS Tx Automation (Requires Opt. DJA) | X | X | - |
| MPHY40 | TekExpress MIPI M-PHY HS-Gear1, Gear2, Gear3, and Gear4 Tx Compliance Solution (Requires Opt. DJA and SDLA64) | X | X | X |
| MPHY50 | TekExpress MIPI M-PHY HS-Gear1, Gear2, Gear3, Gear 4, and Gear5 Tx Compliance Solution (Requires Opt. DJA and SDLA64) | X | X | X |
| MTH | Mask Testing: Includes Hardware Clock Recovery | X | X | X |
| NBASET | TekExpress Ethernet TX - NBASE-T Compliance Solution. Supports IEEE P802.3bz: Section 16; NBASE-T | X | X | X |
| PAMJET-E | PAM4 Transmitter Analysis Software for electrical signals (Requires Opt. DJA, DJAN) | X | X | X |
| PAMJET-O | PAM4 Transmitter Analysis Software for Optical signals (Requires Opt. DJA, DJAN) | X | X | X |
| PCE3 | TekExpress PCIe Tx Compliance Solution and DPOJET: PCIe Tx Measurement Plugin. Supports PCIe Gen1/2/3 (Requires Opt. DJA, SR-PCIE) | X | X | X |
| PCE4 | TekExpress PCIe Tx Compliance Solution and DPOJET: PCIe Tx Measurement Plugin. Supports PCIe Gen 3/4 (Requires Opt. DJA, PCE3, SR-PCIE) | X | X | X |
| PCE5 | TekExpress PCIe Tx Compliance Solution: Supports PCIe Gen5 (Requires Opt. DJA) | X | X | X |
| SAS3 | SAS-3 TX Compliance Test Application | X | X | X |
| SAS3-TSG | TekExpress SAS3 Tx Compliance Solution (Requires Opt. DJA, SAS3) | X | X | X |
| SAS3-TSGW | TekExpress SAS-3 Tx WDP Transmitter Measurements (Requires Opt. SAS3-TSG) | X | X | X |
| SAS4-TSG | DPOJET: SAS4 Tx Measurement Plugin (Requires Opt. DJA) | X | X | X |
| SATA-DHB | TekExpress SATA Tx Compliance Solution (TSG/RSG Bundle: SW option) | X | X | X |
| SATA-R-UP | TekExpress Upgrade for SATA RSG/RMT Receiver Tests | - | X | - |
| SATA-RSG | TekExpress SATA Rx Compliance Solution (RSG/RMT) (Requires Opt. DJA, ERRDT) | X | X | X |
| SATA-TSG | TekExpress SATA Tx Compliance Solution (PHY/TSG/OOB) (Requires Opt. DJA) | X | X | X |
| SC | SignalCorrect Cable, Channel, and Probe Compensation Software | X | X | X |
| SDLA64 | Serial Data Link Analysis - Measurement Circuit De-embed, Simulation Circuit Embed, Transmitter & Receiver Equalization and Advanced Analysis and Modeling Tools | X | X | X |
| SFP-TX | TekExpress SFP+ QSFP+ Tx - Ethernet SFP+/QSFP+ Compliance Solution and DPOJET: SFP+/QSFP+ Tx measurements plug-in. (Requires Opt. DJA) | X | X | X |
| SFP-WDP | TekExpress SFP+ QSFP+ Tx - Waveform Distortion Penalty measurements (Requires Opt. SFP-TX) | X | X | X |
| SWX-DP | Switch Matrix support for DisplayPort 1.2 Tx (Requires Opt. DP12) | X | X | X |
| SWX-PCE | Switch Matrix support for PCIe Tx (Requires Opt. PCE, PCE3, PCE4) | X | X | X |
| TBT-TX | TekExpress Thunderbolt 2 Automated Compliance | X | X | X |
| TBT3 | TekExpress Thunderbolt 3 & Thunderbolt 4 Tx Compliance/Debug Automation Solution (Requires Opt. CIO, DJA, SDLA64) | X | X | X |
| USB-TX | TekExpress USB 3.0 Tx Compliance Solution (Requires Opt. DJA) | X | X | X |
| USB2 | TekExpress USB 2.0 Automated Compliance Solution | X | X | X |
| USB4 | TekExpress USB4 Tx Compliance and DPOJET: USB4 Tx/Rx Measurement Plugin Solution (Requires Opt. CIO, DJA, SDLA64) | X | X | X |
| USBPWR | USB Power Adapter/ EPS Compliance Automated Test Solution | X | X | X |
| USBSSP-TX | TekExpress USB 3.1 Tx Compliance Solution (5Gb and 10Gb) (Requires Opt. DJA, USB-TX) | X | X | X |
| USBSSP-UP | TekExpress USB 3.0 (5Gb) upgrade to TekExpress USB 3.1 (10Gb) | - | X | X |
| XGBT2 | TekExpress Ethernet Tx - 10GBASE-T Compliance Solution. Supports IEEE 802.3: Section 55 | X | X | X |
Spectral and Modulation Analysis options, upgrades, and floating licenses
The following Spectral and Modulation Analysis options, upgrades, and floating licenses are available. An "X" indicates the item is available. A "-" indicates the item is not available.
| Option | Description | Instrument | Upgrade | Floating license |
|---|---|---|---|---|
| 5GNR | 5G NR Uplink/Downlink RF Power, Bandwidth, Demodulation and Error Vector Magnitude Measurments (Requires Opt. SVE) | - | X | - |
| SVE | SignalVu® Essentials - Vector Signal Analysis Software | X | - | X |
| SVEH | SignalVu Essentials - Vector Signal Analysis Software for 70k Series <12 GHz | - | X | - |
| SVEU | SignalVu Essentials - Vector Signal Analysis Software for 70k Series >12 GHz | - | X | - |
| SVA | AM/FM/PM Audio Signal Analysis (Requires Opt. SVE) | X | X | X |
| SVM | General Purpose Modulation Analysis (Requires Opt. SVE) | X | X | X |
| SVO | Flexible OFDM Analysis (Requires Opt. SVE) | X | X | X |
| SVP | Advanced Pulsed Signal Analysis including Measurements (Requires Opt. SVE) | X | X | X |
| SVT | Frequency and Phase Settling Time Measurements (Requires Opt. SVE) | X | X | X |
| SV23 | WLAN 802.11a/b/g/j/p measurement application (Requires Opt. SVE) | X | X | X |
| SV24 | WLAN 802.11n measurement application (Requires Opt. SV23) | X | X | X |
| SV25 | WLAN 802.11ac measurement application (Requires Opt. SV24) | X | X | X |
| SV26 | APCO P25 compliance testing and analysis application (Requires Opt. SVE) | X | X | X |
| SV27 | SignalVu Bluetooth Basic LE TX SIG measurements (Requires Opt. SVE) | X | X | X |
| SV28 | SignalVu LTE DownLink RF measurements (Requires Opt. SVE) | X | X | X |
| SV30 | WiGig IEEE 802.11ad/ay transmitter testing (Requires Opt. SVE) | X | X | X |
Other upgrades
| Upgrade | Description |
|---|---|
DPO7SSD-W10 DPO7SSD-W10 opt NOL DPO7SSD-W10 opt M581 (Order all three line items) | Spare Solid State Drive - Windows 10, for MSO/DPO70000C/DX Series oscilloscopes with Intel Core i7-2600 CPU motherboard (M581) or Core i7-7700 CPU motherboard (RX170Q) already licensed and running Windows 10. Preconfigured with Windows 10 OS, TekScope, and oscilloscope applications. |
DPO7SSD-W10 DPO7SSD-W10 opt UP DPO7SSD-W10 opt M581 (Order all three line items) | Upgrade Solid State Drive - Windows 10, for MSO/DPO70000C/DX Series oscilloscopes with Intel Core i7-2600 motherboard (M581) currently licensed and running Windows 7. Upgrades to Windows 10. Preconfigured with OS, TekScope, and oscilloscope applications. |
DPO7SSD-W10 DPO7SSD-W10 opt NOL DPO7SSD-W10 opt M566 (Order all three line items) | Spare Solid State Drive - Windows 10, for MSO/DPO70000C/DX Series oscilloscopes with Core 2 Duo motherboard (M566) already licensed and running Windows 10. Preconfigured with Windows 10 OS, TekScope, and oscilloscope applications. |
DPO7SSD-W10 DPO7SSD-W10 opt UP DPO7SSD-W10 opt M566 (Order all three line items) | Upgrade Solid State Drive - Windows 10, for MSO/DPO70000C/DX Series oscilloscopes with Core 2 Duo motherboard (M566) currently licensed and running Windows 7. Upgrades to Windows 10. Preconfigured with OS, TekScope, and oscilloscope applications. |
- Investment protection options
- As signals get faster and new standards are developed, your investment in an MSO/DPO70000DX Series instrument can evolve with your needs. You can upgrade the bandwidth of the unit you own today. You can take advantage of MSO/DPO70000DX series performance improvements by upgrading your existing unit to a new series, or adding MSO features to your current DPO model. Contact your local Tektronix representative to discuss the full range of options available to ensure your MSO/DPO70000DX Series oscilloscope has the tools you need for your next project.
Power plug options
- Opt. A0
- North America power plug (115 V, 60 Hz)
- Opt. A1
- Universal Euro power plug (220 V, 50 Hz)
- Opt. A2
- United Kingdom power plug (240 V, 50 Hz)
- Opt. A3
- Australia power plug (240 V, 50 Hz)
- Opt. A5
- Switzerland power plug (220 V, 50 Hz)
- Opt. A6
- Japan power plug (100 V, 50/60 Hz)
- Opt. A10
- China power plug (50 Hz)
- Opt. A11
- India power plug (50 Hz)
- Opt. A12
- Brazil power plug (60 Hz)
- Opt. A99
- No power cord
Service options
- Opt. C3
- Calibration Service 3 Years
- Opt. C5
- Calibration Service 5 Years
- Opt. D1
- Calibration Data Report
- Opt. D3
- Calibration Data Report 3 Years (with Opt. C3)
- Opt. D5
- Calibration Data Report 5 Years (with Opt. C5)
- Opt. G3
- Complete Care 3 Years (includes loaner and more)
- Opt. G5
- Complete Care 5 Years (includes loaner and more)
- Opt. IF
- Upgrade Installation Service
- Opt. R3
- Repair Service 3 Years (including warranty)
- Opt. R5
- Repair Service 5 Years (including warranty)
Recommended accessories
- Probes
- DPO7OE1
- 33 GHz optical probe
- DPO7OE2
- 59 GHz optical probe
- P7633
- 33 GHz Low Noise TriMode™ Probe
- P7630
- 30 GHz Low Noise TriMode™ Probe
- P7625
- 25 GHz Low Noise TriMode™ Probe
- P7720
20 GHz TriMode Probe
- P7716
- 16 GHz TriMode Probe
- P7713
- 13 GHz TriMode Probe
- P7708
- 8 GHz TriMode Probe
- P7520A
- 25 GHz TriMode™ probe
- P7516
- 16 GHz TriMode™ probe
- P7513A
- 13 GHz TriMode™ differential probe
- P7313SMA
- 13 GHz TriMode™ differential SMA probe
- P7508
- 8 GHz TriMode™ probe
- P7506
- 6 GHz TriMode™ probe
- P7504
- 4 GHz TriMode™ probe
- P6780
- Differential Input Logic probe
- P6717A
- General-purpose Logic probe
- P6251
- DC to 1 GHz, 42 V, differential probe (requires TCA-BNC adapter)
- TCPA300/TCPA400 Series
- Current measurement systems
- P5200A/P5205A/P5210A
- High-voltage differential probes
- P77DESKEW
- P7700 Probe Deskew Fixture for SMA, solder-down, and browser connections
- 067-2431-xx
- Probe Deskew Fixture for SMA or solder-down connections (up to 30 GHz)
- 067-0484-xx
- Analog Probe Calibration and Deskew Fixture (4 GHz)
- 067-1586-xx
- Analog Probe Deskew Fixture (>4 GHz)
- 067-1686-xx
- Power Deskew Fixture
- Adapters
- TCA-1MEG
- TekConnect® high-impedance buffer amplifier. Includes P6139B passive probe
- TCA-292MM
- TekConnect® to 2.92 mm adapter (20 GHz bandwidth)
- TCA-292D
- TekConnect® to 2.92 mm adapter (33 GHz bandwidth)
- TCA-BNC
- TekConnect® to BNC adapter
- TCA-N
- TekConnect® to N adapter
- TCA-SMA
- TekConnect® to SMA adapter
- TCA-VPI50
- 50 Ω TekVPI to TekConnect adapter
- TCA75
- 23 GHz precision TekConnect® 75 Ω to 50 Ω adapter with 75 Ω BNC input connector
- Cables
- 174-6663-01
- Cable; 2.92-to-2.92 mm cable pair, straight, 1.5 ps phase-matched, 500 mm, 40 GHz
- PMCABLE1M
- Phase matched cable pair, 40 GHz, 2.92mm, male-male, 1 meter
- 174-6978-00
- Cable; 2.92-to-2.92 mm cable pair, straight, 1.5 ps phase-matched, 2 m, 40 GHz
- 174-6664-01
- Cable; SMA-to-SMA cable pair, straight, 1.5 ps phase-matched, 200 mm, 20 GHz
- 174-6665-01
- Cable; SMA-to-SMA, single cable, right-angle, 300 mm, 20 GHz
- 174-6666-01
- Cable; SMA-to-SMA, single cable, right-angle, 500 mm, 20 GHz
- 174-6667-01
- Cable; SMA-to-SMA, single cable, right-angle, 1.829 m, 20 GHz
- 174-6658-01
- Cable; SMP-to-SMP cable pair, right-angle, 2.5 ps phase-matched, 300 mm, 20 GHz
- 174-6659-01
- Cable; SMP-to-SMP cable pair, right-angle, 2.5 ps phase-matched, 1 m, 20 GHz
- 012-0991-xx
- GPIB Cable (1 m)
- 012-0991-xx
- GPIB Cable (2 m)
- P6780 Logic Probe standard accessories
- 067-2298-xx
- Deskew Fixture, logic probes
- 020-3035-xx
- Standard adapter
- 020-3036-xx
- Wide Body adapter
- 020-3032-00
- 25°/55° holder
- 020-3021-00
- Heat Strip wire (4.57 m)
- 020-3031-xx
- Hand Browsing adapter
- 020-3033-xx
- Flex adapter
- 020-3038-xx
- Lead set ground
- 020-3042-xx
- Probe grouper (including header pins)
- 020-3034-xx
- Ferrite beads
- 020-3037-xx
- Wire tubing (4.57 m)
- P6717A Logic Probe standard accessories
- 067-2298-xx
- Deskew Fixture, logic probes
- 206-0559-xx
- Extension ground tip
- 131-5638-xx
- Probe tip
- 206-0569-xx
- IC grabber
- 352-1115-xx
- Probe grouper
- 196-3501-xx
- Lead sets
- 196-3497-xx
- Ground lead sets
- System Test
- TDSUSBF
- Test Fixture for use with Opt. USB
- TF-XGbT
- 10GBASE-T Fixture for use with Option XGbT Software
- —
- Ethernet Test Fixture. Order through Crescent Heart Software (http://www.c-h-s.com)
- TF-HEAC-TPA-KIT
- HEAC TPA-KIT consists of: Main Board; Plug A-type board; Plug C-type board; 2 × TDR board with A Receptacle; 2 × TDR board with C Receptacle
- TF-HDMI-TPA-S/STX
- HDMI Type C fixture set for Tx/Rx
- TF-HDMIC-TPA-S/STX
TF-HDMIC-TPA-S/STX
- TF-HDMIE-TPA-KIT
- HDMI Type E Fixture set
- TF-HDMID-TPA-P/R
HDMI Type D Fixtures
- TF-MHL-TPA-TEK
- MHL Fixture set
- S46-6666-A-AMER
- Keithley Instruments RF/Microwave switch system, 32 channel, unterminated, Americas power cord
- S46-6666-A-ASIAP
- Keithley Instruments RF/Microwave switch system, 32 channel, unterminated, Asia-Pacific power cord
- S46-6666-A-EURAF
- Keithley Instruments RF/Microwave switch system, 32 channel, unterminated, Europe/Africa power cords
- TF-USB3-AB-KIT
- USB 3.0 A/B Fixture/Cable Kit
- TF-USB3-A-P
- USB 3.0 A Plug Fixture
- TF-USB3-A-R
- USB 3.0 A Receptacle Fixture Kit
- TF-USB3-B-R
- USB 3.0 B Receptacle Fixture Kit
- TF-GBE-ATP
- 10/100/1000BASE-T Advanced Test Package (consists of test fixture PCB set, RJ45 interconnect cable, and 1000BASE-T jitter test channel cable)
- TF-GBE-BTP
- 10/100/1000BASE-T Basic Test Package (consists of test fixture PCB set and RJ45 interconnect cable)
- TF-GBE-JTC
- 103 meter 1000BASE-T jitter test channel cable
- TF-GBE-SIC
- Short (4 inch (0.1 meter)) RJ45 interconnect cable

- Other
- 016-1985-xx
- Rackmount Kit
- 077-0076-xx
- Service Manual, pdf on hard drive
- 016-2039-00
- Transit Case (metal frame, wood panels)
- 016-2043-00
- Transit Case (carbon fiber)
Warranty
One-year warranty covering all parts and labor.


